Hi @CanonicalHazard,
It should be possible to do it with Graph Builder, provided that you saved and used the Prediction formula of your response from your model.
As an example, I used the dataset "2x3x4 Factorial" available in the JMP sample index.
When building the model, it seems that two interactions effects are significant :

The interactions can be seen in the "Interaction Profiles" panel :

I save the Prediction formula for the response Y, and use it in the Graph Builder, use X1 as X and X2 as "overlay" role variable in the Graph Builder and I am able to find the same interaction plot than seen before :


I can also do it with X2 as X and X1 as overlay variable, even if X2 is a categorical factor, as this factor has a "Value Order" property, so JMP knows in which order to display the levels. I end up with this graph, very similar to what was shown previously in "Interaction Profiles" panel :

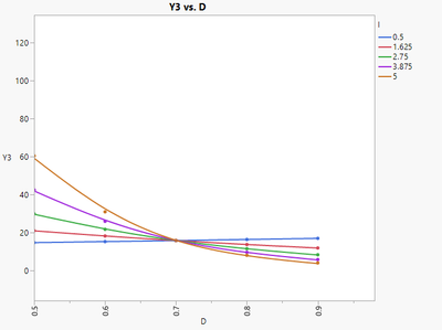
And here with X3 as X variable (and removing points from Graph Builder to make the visualization more simple) :

Of course you can customize the graph, removing the points or keeping them, changing the colors, visualisation styles, ... Take also care that the Y range of the graph is the same than the predicted Y values range, in order to have the same slope and behaviour for your interaction (and not have misleading visualization).
I hope this answer will help you,
Victor GUILLER
"It is not unusual for a well-designed experiment to analyze itself" (Box, Hunter and Hunter)