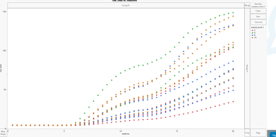
I want individual points to connect, not their mean.
There are 4 Y's for each X. I want all Y1`'s across X to connect, then the Y2's across X, and so on ....in the plot below. In the plot below there are multiple lines for every 'analyte_level 2'; i want each line's dots connected.
