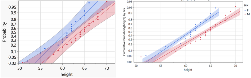
To get the overlay  (all data + curves by sex),
you have to switch to Graph Builder,  change the scale on the Y axis to normal probability, calculate the cumulative probability "manually" and play with the variable settings.
You can even activate the fit - and get confidence intervals ...

Names Default To Here( 1 );
dt = Open( "$SAMPLE_DATA/Big Class.jmp" );
Graph Builder(
	Transform Column(
		"Cumulative Probability[height] by sex",
		Formula( Col Rank( :height, :sex ) / (Col Number( :height, :sex ) + 1) )
	),
	Transform Column(
		"Cumulative Probability[height]",
		Formula( Col Rank( :height ) / (Col Number( :height ) + 1) )
	),
	Variables(
		X( :height ),
		Y( :"Cumulative Probability[height]"n ),
		Y( :"Cumulative Probability[height] by sex"n, Position( 1 ) ),
		Overlay( :sex )
	),
	Elements(
		Points( X, Y( 2 ) ),
		Points( X, Y( 1 ), Overlay( 0 ) ),
		Line Of Fit( X, Y( 2 ) ),
		Line Of Fit( X, Y( 2 ), Overlay( 0 ) )
	),
		SendToReport(
		Dispatch( {}, "Cumulative Probability[height]", ScaleBox,
			{Scale( "Normal Probability" )}))
);