Open your data table. In Laura's example she used the Big Class data table from the Sample Data Folder available under the Help pull down menu.

Go to
Analyze=>Quality and Process=> Variability // Attribute Control Chart
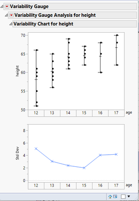
In the dialog window that is displayed, select column height for the Y, Response and column age for the X, Grouping and click on OK.

The Output Display window will appear

Click on the red triangle to the left of the title for the outline box titled "Variability Guage Analysis for height" and select "Vertical Charts"

The display will change to a Vertical form

Jim