cancel
Showing results for 
Show  only  | Search instead for 
Did you mean: 
  • JMP will suspend normal business operations for our Winter Holiday beginning on Wednesday, Dec. 24, 2025, at 5:00 p.m. ET (2:00 p.m. ET for JMP Accounts Receivable).
    Regular business hours will resume at 9:00 a.m. EST on Friday, Jan. 2, 2026.
  • We’re retiring the File Exchange at the end of this year. The JMP Marketplace is now your destination for add-ins and extensions.

Discussions

Solve problems, and share tips and tricks with other JMP users.
Choose Language Hide Translation Bar
seaseeboy
Level I

JMP stability test report questions

stability test data  as follow:
screenshot.bmp

Using the  degradation>Stability test Platform,result for response,date for time,lot for label,Enter 0.012 for the uper Spec Limit and

click ok.

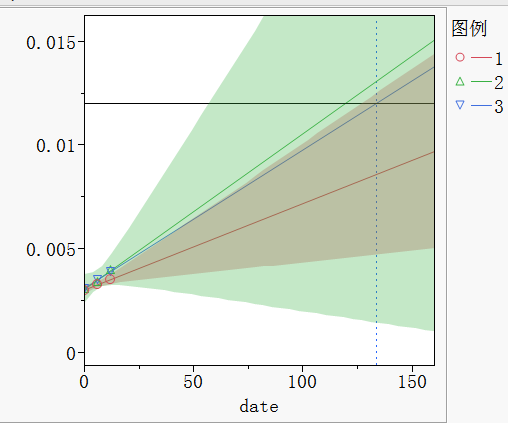
Q1:The report shows  different· slope and different intercepts,but the chart(shows as follow left)didn't choose the most shorter date for the expiration date(according to the ICH) ,why?

Q2:What is the meaning for the "source A ".?

Q3:According to JMP report ,the expiration date is 133 ,on the other hand ,i use minitab 17 “Stability test Platform”to  forecast  the same data ,it also concludes that different· slope and different intercepts is given and the expiration date is 94(shows as follow right),what is different between jmp and minitab in the Stability test Platform?

screenshot.bmpscreenshot47.bmp

 

 
1 ACCEPTED SOLUTION

Accepted Solutions
Phil_Kay
Staff

Re: JMP stability test report questions

My data table and analysis attached.

View solution in original post

6 REPLIES 6
Phil_Kay
Staff

Re: JMP stability test report questions

I can't reproduce your result.

I get "The best model accepted at the significance level of 0.25 has Different intercepts and Different slopes. The model suggests the earliest crossing time at 57.03571 with 95 percent confidence. ICH Guidelines indicate an expiration time of 57.03571."

Maybe you save your script to the data table and attach the data table in a reply in this discussion.

Or you could send the data table and your questions to support@jmp.com.

Regarding Q2: Briefly, Source A is explained in the legend. It is part of the model comparison between the different possible models (as per ICH).
Phil_Kay
Staff

Re: JMP stability test report questions

My data table and analysis attached.

seaseeboy
Level I

Re: JMP stability test report questions

This is my analysis.the expiration date "133"is a automatical result from reports.

Phil_Kay
Staff

Re: JMP stability test report questions

Hi,

 

I suggest you contact technical support (email: support@jmp.com).

 

I ran your analysis from your table and got the results that I had got previously.

 

Regards,

Phil

Bhaskar
Level I

Re: JMP stability test report questions

Hi Phil_Kay, I recently got a report from my CMO stating the predicted shelf life from JMP stability test program as 14 months that is very low. I analysed the input data of 4 batches and found that there was high varibility in the data to the extent that I can call it haphazard. (attaching a snapshot of the regression plot). "Garbage in leads to garbage out". Canyou please guide me on " how reliable is output when the input data is like this as depicted in the plot". Also how do I access the significance of this model. I mean how do we access that the model is valid enough to be able to predict the shelflife. 

JMP data.png

Phil_Kay
Staff

Re: JMP stability test report questions

Hi @Bhaskar ,

Sorry for slow response - I have been out of office for a few weeks.

Purely from the graph above the result of 14 months seems like a reasonable conclusion.

Clearly there is a lot of variation between your batches. And this is reflected in the fact that the stability protocol has determined that the different intercepts and different slopes is the most appropriate model.

The batch coloured in blue shows a strong downward trend in Disso, which suggests that it would be less than 85 from around 14 months.

The other batches show less clear trends. I can't comment on why that is. That is something for you to think about. It might be that the precision of Disso measurement is poor. You might want to look at the Disso measurement system using Measurement Systems Analysis methods (a topic for another thread). It might also be that there truly are differences in how the product in different batches is degrading. 

You ask about statistical significance. The Stability platform uses statistical testing to determine the best model according to the ICH guidelines. Then, for the model that has been determined, it gives you the 95% confidence intervals for the trend, which is effectively another test of statistical significance.

The statistical tests are detailed in the help documentation.

I hope this helps. 

Recommended Articles