I think the middle ground is achievable. But let me illustrate how the inverse prediction intervals for an individual response and the expected response are obtained.
The following screenshot is obtained by copying the contents of two inverse prediction plots, and pasting into the fitted curve plot.
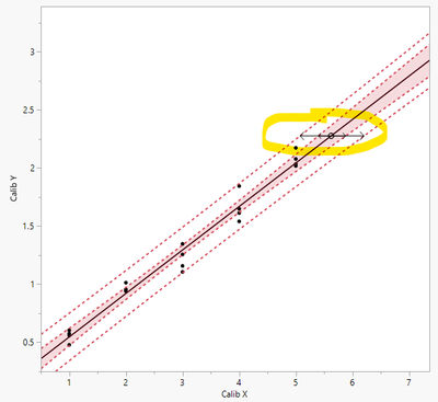
Look at how the ends of arrows touch the confidence interval bands and prediction interval bands.
So, the inverse prediction "uncertainty interval" is obtained by finding the intersections of the "y" value and desired "uncertainty bands".

Now, look at your middle ground. What is the definition of the "uncertainty bands" of your middle ground. It should be somewhere between the confidence interval bands and prediction interval bands.
Now you need some math. This is the related math in JMP documentation:
https://www.jmp.com/support/help/en/17.1/index.shtml#page/jmp/statistical-details-for-prediction-and...
I put a screenshot below, and pay attention to the highlighted ONE!

For you middle ground, that should be 1/K, where K is the number of your replicates.
The formula above is for general regression. Even I tell you the solution, it might be difficult for you to calculate. But since your regression is simple, you might be able to do so. Check out the following page:
https://online.stat.psu.edu/stat501/lesson/3/3.3
And use the formula there to get the "uncertainty bands" of your middle ground. Then find out the intersection between the bands and a given "y", the average of replicates.
Update:
I want to add one more thing. You mentioned the measurements are "replicate" on the same entity, e.g. three measurements of height of the same person. In that case, the problem in your hands is not a simple regression. And the following book should be useful to you:
JMP for Mixed Models, by my colleagues: Ruth Hummel, Elizabeth Claassen, and Russell Wolfinger.
https://www.amazon.com/JMP-Mixed-Models-Ruth-Hummel/dp/195236521X
I attach the updated data, with a Fit Mixed script. Then look at the comparisons of results from Least Squares and Mixed:

The blue arrows point to quantities that have different estimates.
The red arrow points to the quantity of estimate of the variance of a single new "y".
Your "middle ground" is still achievable, but the complexity just went up.