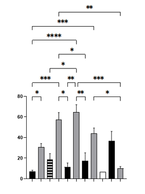
It would be helpful if there was a shortcut in Graph builder where you can import pairwise comparisons to be displayed on the graph. Currently we have to export the JMP bar graph to PowerPoint and manually add the lines that indicate significance between groups.
We do use JMPs Fit Y by X tool to do the stat comparisons and JMP graph builder to create the "base" graph. We would just appreciate if these capabilities were linked
