User Community
All community
Knowledge base
samanthamann
Users
Products
cancel
Turn on suggestions
Auto-suggest helps you quickly narrow down your search results by suggesting possible matches as you type.
Showing results for
Show
only
|
Search instead for
Did you mean:
Sign In
Sign In
JMP.com
User Community
Online Documentation
My JMP
JMP Store
JMP Public
JMP Marketplace
Discovery Summits
Discussions
Learn JMP
Support
Events
Mastering JMP
Academic Webinars
Getting Started Series
Hands-on Workshops
JMP Users Groups
Discovery Summits
JMP Blogs
JMP Wish List
Community
About the Community
File Exchange
JMP Technical Resources
JMP Users Groups
Interest Groups
JMP Discovery Summit Series
JMP Software Administrators
All community
Knowledge base
samanthamann
Users
Products
cancel
Turn on suggestions
Auto-suggest helps you quickly narrow down your search results by suggesting possible matches as you type.
Showing results for
Show
only
|
Search instead for
Did you mean:
Sign In
Sign In
Discussions
Learn JMP
Support
Events
Mastering JMP
Academic Webinars
Getting Started Series
Hands-on Workshops
JMP Users Groups
Discovery Summits
JMP Blogs
JMP Wish List
About the Community
File Exchange
JMP Technical Resources
JMP Users Groups
Interest Groups
JMP Discovery Summit Series
JMP Software Administrators
samanthamann
Level II
Public Statistics
Date Registered
‎05-31-2022
06:17 PM
Date Last Visited
‎01-26-2023
06:10 PM
Total Messages Posted
2
Total Kudos Received
4
Contact Me
Online Status
Offline
Date Last Visited
‎01-26-2023
06:10 PM
My Recent Posts
My Blog Posts
My Badges
My Activity
Post I Kudoed
Recently Kudoed Post
TKB Contributions
Latest posts by samanthamann
Subject
Views
Posted
Re: Quick add pairwise comparisons to graphs
JMP Wish List
5906
‎06-01-2022
03:03 PM
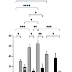
Quick add pairwise comparisons to graphs
JMP Wish List
5950
‎06-01-2022
12:32 PM
View All
Subject
Views
Posted
View All
View All
Activity Feed for samanthamann
Got a Kudo for
Quick add pairwise comparisons to graphs
.
‎10-15-2022
02:50 AM
Posted
Re: Quick add pairwise comparisons to graphs
on
JMP Wish List
.
‎06-01-2022
03:03 PM
Got a Kudo for
Quick add pairwise comparisons to graphs
.
‎06-01-2022
01:02 PM
Got a Kudo for
Quick add pairwise comparisons to graphs
.
‎06-01-2022
12:52 PM
Got a Kudo for
Quick add pairwise comparisons to graphs
.
‎06-01-2022
12:41 PM
Posted
Quick add pairwise comparisons to graphs
on
JMP Wish List
.
‎06-01-2022
12:32 PM
My kudoed posts
Subject
Kudos
Posted
Quick add pairwise comparisons to graphs
JMP Wish List
4
‎06-01-2022
12:32 PM
View All