cancel
Showing results for 
Show  only  | Search instead for 
Did you mean: 

JMP Wish List

We want to hear your ideas for improving JMP. Share them here.
%3CLINGO-SUB%20id%3D%22lingo-sub-795041%22%20slang%3D%22en-US%22%20mode%3D%22UPDATE%22%3E%E5%AF%BF%E5%91%BD%E5%88%86%E5%B8%83%20-%20%E5%8D%95%E9%A1%B5%E6%A6%82%E8%BF%B0%3C%2FLINGO-SUB%3E%3CLINGO-BODY%20id%3D%22lingo-body-795041%22%20slang%3D%22en-US%22%20mode%3D%22UPDATE%22%3E%3CP%3E%E2%98%90%20%E5%BE%88%E9%85%B7%E7%9A%84%E6%96%B0%E5%8A%9F%E8%83%BD%3CBR%20%2F%3E%E2%98%90%20%E5%8F%AF%E4%BB%A5%E5%B8%AE%E5%8A%A9%E5%BE%88%E5%A4%9A%E7%94%A8%E6%88%B7%EF%BC%81%3C%2FP%3E%3CP%3E%E2%98%90%20%E5%88%A0%E9%99%A4%E4%B8%80%E4%B8%AA%E9%94%99%E8%AF%AF%3C%2FP%3E%3CP%3E%E2%98%91%20%E5%BE%88%E9%AB%98%E5%85%B4%E6%9C%89%3C%2FP%3E%3CP%3E%E2%98%90%20%E6%B2%A1%E4%BA%BA%E9%9C%80%E8%A6%81%E5%AE%83%3C%2FP%3E%3CP%3E%20%3C%2FP%3E%3CP%3E%3CSTRONG%3E%E6%98%AF%E4%BB%80%E4%B9%88%E5%90%AF%E5%8F%91%E4%BA%86%E8%BF%99%E4%B8%AA%E6%84%BF%E6%9C%9B%E6%B8%85%E5%8D%95%E8%AF%B7%E6%B1%82%EF%BC%9F%3CBR%20%2F%3E%3C%2FSTRONG%3E%20-%3CSTRONG%3E%E5%AF%BF%E5%91%BD%E5%88%86%E5%B8%83%3C%2FSTRONG%3E%E4%B8%AD%E7%9A%84%E5%88%86%E6%9E%90%E9%80%89%E9%A1%B9%E9%9D%9E%E5%B8%B8%E6%A3%92%E3%80%82%3CBR%20%2F%3E%3CSTRONG%3E%3CBR%20%2F%3E%3C%2FSTRONG%3E%20-%20%E5%9B%BE%E5%BD%A2%E7%94%9F%E6%88%90%E5%99%A8%E9%9D%9E%E5%B8%B8%E9%80%82%E5%90%88%E7%94%9F%E6%88%90%E5%8E%8B%E7%BC%A9%E7%9A%84%E7%BD%91%E6%A0%BC%E5%9B%BE%E3%80%82%3CBR%20%2F%3E%3CBR%20%2F%3E%E5%A6%82%E4%BD%95%E5%B0%86%E4%B8%A4%E8%80%85%E7%BB%93%E5%90%88%E8%B5%B7%E6%9D%A5%EF%BC%9F%3CBR%20%2F%3E%3CBR%20%2F%3E%3C%2FP%3E%3CP%3E%3CA%20href%3D%22https%3A%2F%2Fcommunity.jmp.com%2Ft5%2FJMP-Wish-List%2FAdd-CDFs-to-Graph-Builder%2Fidc-p%2F773025%2Fhighlight%2Ftrue%23M5793%22%20target%3D%22_blank%22%3Ehttps%3A%2F%2Fcommunity.jmp.com%2Ft5%2FJMP-Wish-List%2FAdd-CDFs-to-Graph-Builder%2Fidc-p%2F773025%2Fhighlight%2Ftrue%23M5793%3C%2FA%3E%3C%2FP%3E%3CDIV%20class%3D%22lia-spoiler-container%22%3E%3CA%20class%3D%22lia-spoiler-link%22%20href%3D%22%23%22%20rel%3D%22nofollow%20noopener%20noreferrer%22%20target%3D%22_blank%22%3E%E6%9F%A5%E7%9C%8B%E6%9B%B4%E5%A4%9A...%3C%2FA%3E%3CNOSCRIPT%3E%EF%BC%88%E7%AA%81%E5%87%BA%E6%98%BE%E7%A4%BA%E4%BB%A5%E9%98%85%E8%AF%BB%EF%BC%89%3C%2FNOSCRIPT%3E%3CDIV%20class%3D%22lia-spoiler-border%22%3E%3CDIV%20class%3D%22lia-spoiler-content%22%3E%3CDIV%20class%3D%22%22%3E%3CDIV%20class%3D%22%22%3E%3CDIV%20class%3D%22%22%3E%3CDIV%20class%3D%22%22%3E%3CDIV%20class%3D%22%22%3E%3CP%3E%3CA%20href%3D%22https%3A%2F%2Fcommunity.jmp.com%2Ft5%2Fuser%2Fviewprofilepage%2Fuser-id%2F53053%22%20target%3D%22_self%22%3E%3CSPAN%20class%3D%22%22%3E%E5%91%A8%E5%9B%9B%3C%2FSPAN%3E%3C%2FA%3E%3C%2FP%3E%3C%2FDIV%3E%3C%2FDIV%3E%3CDIV%20class%3D%22%22%3E%3CSPAN%20class%3D%22%22%3E%E2%80%8E2024%E5%B9%B407%E6%9C%8815%E6%97%A5%3C%2FSPAN%3E%3CSPAN%3E%20%3C%2FSPAN%3E%3CSPAN%20class%3D%22%22%3E%E4%B8%8B%E5%8D%88%2012%3A46%3CBR%20%2F%3E%3CBR%20%2F%3E%3C%2FSPAN%3E%3C%2FDIV%3E%3C%2FDIV%3E%3C%2FDIV%3E%3C%2FDIV%3E%3CDIV%20class%3D%22%22%3E%3CDIV%20class%3D%22%22%3E%3CDIV%20class%3D%22%22%3E%3CDIV%20class%3D%22%22%3E%3CDIV%20class%3D%22%22%3E%3CDIV%20class%3D%22%22%3E%3CP%3E%E5%88%86%E5%B8%83%E5%9B%BE%E6%98%AF%E6%88%91%E4%BB%AC%E9%83%A8%E9%97%A8%E4%BB%8D%E7%84%B6%E4%BD%BF%E7%94%A8%20Minitab%20%E7%9A%84%E4%B8%BB%E8%A6%81%E5%8E%9F%E5%9B%A0%E3%80%82%3C%2FP%3E%3CP%3E%E7%9B%AE%E5%89%8D%E5%AE%83%E4%BB%8D%E7%84%B6%E6%AF%94%20jmp%20%E6%9B%B4%E5%BF%AB%E3%80%81%E6%9B%B4%E5%AE%B9%E6%98%93%E5%9C%B0%E7%94%9F%E6%88%90%E6%AD%A4%E7%B1%BB%E5%9B%BE%E8%A1%A8%E3%80%82%3C%2FP%3E%3CP%3E%EF%BC%88Minitab%20%E5%9C%A8%E6%8A%A5%E5%91%8A%E4%B8%AD%E7%9A%84%E8%AF%84%E4%BC%B0%E9%80%89%E9%A1%B9%E8%A6%81%E5%B0%91%E5%BE%97%E5%A4%9A%EF%BC%8C%E4%BD%86%E5%A6%82%E6%9E%9C%E6%82%A8%E9%A6%96%E5%85%88%E9%9C%80%E8%A6%81%E5%88%86%E5%B8%83%E5%9B%BE%EF%BC%8C%E9%82%A3%E4%B9%88%E8%BF%99%E4%BA%9B%E9%83%BD%E6%98%AF%E6%AC%A1%E8%A6%81%E7%9A%84%E3%80%82%EF%BC%89%3C%2FP%3E%3CP%3E%20%3C%2FP%3E%3CP%3E%E5%8C%85%E5%90%AB%E6%9D%A5%E8%87%AA%20Big%20class.jmp%20%E7%9A%84%E6%95%B0%E6%8D%AE%E7%9A%84%E7%A4%BA%E4%BE%8B%3C%2FP%3E%3CP%3E%3CSTRONG%3EMinitab%3C%2FSTRONG%3E%20%EF%BC%9A%E8%87%AA%E5%8A%A8%E8%AE%BE%E7%BD%AE%EF%BC%8C%E5%9C%A8%E5%AF%B9%E8%AF%9D%E6%A1%86%E7%AA%97%E5%8F%A3%E4%B8%AD%E5%8D%95%E5%87%BB%203%20%E6%AC%A1%3C%2FP%3E%3CSPAN%20class%3D%22lia-inline-image-display-wrapper%20lia-image-align-inline%22%20image-alt%3D%22hogi_4-1725443561083.png%22%20style%3D%22width%3A%20400px%3B%22%3E%3CSPAN%20class%3D%22lia-inline-image-display-wrapper%22%20image-alt%3D%22hogi_4-1725443561083.png%22%20style%3D%22width%3A%20400px%3B%22%3E%3Cspan%20class%3D%22lia-inline-image-display-wrapper%22%20image-alt%3D%22hogi_4-1725443561083.png%22%20style%3D%22width%3A%20400px%3B%22%3E%3Cimg%20src%3D%22https%3A%2F%2Fcommunity.jmp.com%2Ft5%2Fimage%2Fserverpage%2Fimage-id%2F67891iCDE2FE987BD632FC%2Fimage-size%2Fmedium%3Fv%3Dv2%26amp%3Bpx%3D400%22%20role%3D%22button%22%20title%3D%22hogi_4-1725443561083.png%22%20alt%3D%22hogi_4-1725443561083.png%22%20%2F%3E%3C%2Fspan%3E%3C%2FSPAN%3E%3C%2FSPAN%3E%3CP%3E%20%3C%2FP%3E%3CP%3E%20%3C%2FP%3E%3CP%3E%3CSTRONG%3Ejmp%EF%BC%88%E6%97%A0%20JSL%EF%BC%8C%E4%BB%85%E6%A0%87%E5%87%86%E9%80%89%E9%A1%B9%EF%BC%89%3C%2FSTRONG%3E%3C%2FP%3E%3CP%3E1.%20%E5%9B%BE%E5%BD%A2%E7%94%9F%E6%88%90%E5%99%A8%3C%2FP%3E%3CP%3E%E8%87%AA%E5%8A%A8%E8%AE%BE%E7%BD%AE%3C%2FP%3E%3CSPAN%20class%3D%22lia-inline-image-display-wrapper%20lia-image-align-inline%22%20image-alt%3D%22hogi_5-1725443559981.png%22%20style%3D%22width%3A%20400px%3B%22%3E%3CSPAN%20class%3D%22lia-inline-image-display-wrapper%22%20image-alt%3D%22hogi_5-1725443559981.png%22%20style%3D%22width%3A%20400px%3B%22%3E%3Cspan%20class%3D%22lia-inline-image-display-wrapper%22%20image-alt%3D%22hogi_5-1725443559981.png%22%20style%3D%22width%3A%20400px%3B%22%3E%3Cimg%20src%3D%22https%3A%2F%2Fcommunity.jmp.com%2Ft5%2Fimage%2Fserverpage%2Fimage-id%2F67892iC7F9C00D4DB9EDC0%2Fimage-size%2Fmedium%3Fv%3Dv2%26amp%3Bpx%3D400%22%20role%3D%22button%22%20title%3D%22hogi_5-1725443559981.png%22%20alt%3D%22hogi_5-1725443559981.png%22%20%2F%3E%3C%2Fspan%3E%3C%2FSPAN%3E%3C%2FSPAN%3E%3CP%3E%20%3C%2FP%3E%3CP%3E%20%3C%2FP%3E%3CP%3Ey%20%E8%BD%B4%E6%89%8B%E5%8A%A8%E8%AE%BE%E7%BD%AE%E4%B8%BA%E6%A6%82%E7%8E%87%E6%AD%A3%E6%80%81%E5%B9%B6%E8%B0%83%E6%95%B4%E4%B8%BA%200.01%20%E5%92%8C%200.99%3C%2FP%3E%3CSPAN%20class%3D%22lia-inline-image-display-wrapper%20lia-image-align-inline%22%20image-alt%3D%22hogi_6-1725443560712.png%22%20style%3D%22width%3A%20400px%3B%22%3E%3CSPAN%20class%3D%22lia-inline-image-display-wrapper%22%20image-alt%3D%22hogi_6-1725443560712.png%22%20style%3D%22width%3A%20400px%3B%22%3E%3Cspan%20class%3D%22lia-inline-image-display-wrapper%22%20image-alt%3D%22hogi_6-1725443560712.png%22%20style%3D%22width%3A%20400px%3B%22%3E%3Cimg%20src%3D%22https%3A%2F%2Fcommunity.jmp.com%2Ft5%2Fimage%2Fserverpage%2Fimage-id%2F67894iF67B1D2C8B79682D%2Fimage-size%2Fmedium%3Fv%3Dv2%26amp%3Bpx%3D400%22%20role%3D%22button%22%20title%3D%22hogi_6-1725443560712.png%22%20alt%3D%22hogi_6-1725443560712.png%22%20%2F%3E%3C%2Fspan%3E%3C%2FSPAN%3E%3C%2FSPAN%3E%3CP%3E%20%3C%2FP%3E%3CP%3E%20%3C%2FP%3E%3CP%3E2.%20%E7%94%9F%E5%91%BD%E5%91%A8%E6%9C%9F%E5%88%86%E5%B8%83%3C%2FP%3E%3CP%3E%E8%87%AA%E5%8A%A8%E8%AE%BE%E7%BD%AE%E3%80%82%E7%94%BB%E9%9D%A2%E4%B8%8D%E9%94%99%EF%BC%8C%E4%BD%86%E6%98%AF%3C%2FP%3E%3CP%3E-%20%E6%B2%A1%E6%9C%89%E9%9D%A2%E6%9D%BF%E9%80%89%E9%A1%B9%3C%2FP%3E%3CP%3E-%20%E6%B2%A1%E6%9C%89%E5%85%B3%E4%BA%8E%E5%88%86%E5%B8%83%E7%B1%BB%E5%9E%8B%EF%BC%88%E6%AD%A3%E6%80%81%E5%88%86%E5%B8%83%E3%80%81%E5%A8%81%E5%B8%83%E5%B0%94%E5%88%86%E5%B8%83%E2%80%A6%E2%80%A6%EF%BC%89%E5%92%8C%20CI%20%E7%9A%84%E4%BF%A1%E6%81%AF%3C%2FP%3E%3CP%3E-%20%E4%BD%BF%E7%94%A8%E2%80%9C%E5%A4%8D%E5%88%B6%E5%9B%BE%E8%A1%A8%E2%80%9D%E5%A4%8D%E5%88%B6%E6%97%B6%E7%BC%BA%E5%B0%91%E5%9B%BE%E4%BE%8B%EF%BC%88%E5%8F%AF%E5%9C%A8%E5%8E%9F%E5%A7%8B%E6%8A%A5%E5%91%8A%E4%B8%AD%E6%9F%A5%E7%9C%8B%EF%BC%89%3C%2FP%3E%3CSPAN%20class%3D%22lia-inline-image-display-wrapper%20lia-image-align-inline%22%20image-alt%3D%22hogi_7-1725443560975.png%22%20style%3D%22width%3A%20400px%3B%22%3E%3CSPAN%20class%3D%22lia-inline-image-display-wrapper%22%20image-alt%3D%22hogi_7-1725443560975.png%22%20style%3D%22width%3A%20400px%3B%22%3E%3Cspan%20class%3D%22lia-inline-image-display-wrapper%22%20image-alt%3D%22hogi_7-1725443560975.png%22%20style%3D%22width%3A%20400px%3B%22%3E%3Cimg%20src%3D%22https%3A%2F%2Fcommunity.jmp.com%2Ft5%2Fimage%2Fserverpage%2Fimage-id%2F67895iFA2F476CBA7CA88D%2Fimage-size%2Fmedium%3Fv%3Dv2%26amp%3Bpx%3D400%22%20role%3D%22button%22%20title%3D%22hogi_7-1725443560975.png%22%20alt%3D%22hogi_7-1725443560975.png%22%20%2F%3E%3C%2Fspan%3E%3C%2FSPAN%3E%3C%2FSPAN%3E%3CP%3E%20%3C%2FP%3E%3CP%3E%3CSTRONG%3E%E6%91%98%E8%A6%81%3C%2FSTRONG%3E%EF%BC%9A%E5%A6%82%E6%9E%9C%E5%9B%BE%E8%A1%A8%E7%94%9F%E6%88%90%E5%99%A8%E4%B8%AD%E8%83%BD%E5%A4%9F%E4%BF%AE%E5%A4%8D%E4%B8%8A%E8%BF%B0%E9%97%AE%E9%A2%98%EF%BC%8C%E6%88%91%E4%BB%AC%E5%B0%86%E9%9D%9E%E5%B8%B8%E6%84%9F%E8%B0%A2%E3%80%82%3C%2FP%3E%3CP%3E%E5%B9%B6%E4%B8%94%E7%9C%8B%E8%B5%B7%E6%9D%A5%E5%A4%A7%E5%A4%9A%E6%95%B0%E4%BD%9C%E5%93%81%E5%B7%B2%E7%BB%8F%E5%8F%AF%E7%94%A8%EF%BC%8C%E4%BD%86%E6%98%AF%E5%9C%A8%E4%B8%8D%E5%90%8C%E7%9A%84%E5%9C%B0%E6%96%B9%2F%E5%B9%B3%E5%8F%B0%E4%B8%8A%EF%BC%9F%3C%2FP%3E%3C%2FDIV%3E%3C%2FDIV%3E%3C%2FDIV%3E%3C%2FDIV%3E%3C%2FDIV%3E%3C%2FDIV%3E%3C%2FDIV%3E%3CNOSCRIPT%3E%3CDIV%20class%3D%22lia-spoiler-noscript-container%22%3E%3CDIV%20class%3D%22lia-spoiler-noscript-content%22%3ETorP%E2%80%8E07-15-2024%2012%3A46%20PM%E5%88%86%E5%B8%83%E5%9B%BE%E6%98%AF%E6%88%91%E4%BB%AC%E9%83%A8%E9%97%A8%E4%BB%8D%E5%9C%A8%E4%BD%BF%E7%94%A8%20Minitab%20%E7%9A%84%E4%B8%BB%E8%A6%81%E5%8E%9F%E5%9B%A0%E3%80%82%E7%9B%AE%E5%89%8D%EF%BC%8C%E5%AE%83%E4%BB%8D%E7%84%B6%E6%AF%94%20jmp%20%E6%9B%B4%E5%BF%AB%E3%80%81%E6%9B%B4%E8%BD%BB%E6%9D%BE%E5%9C%B0%E7%94%9F%E6%88%90%E6%AD%A4%E7%B1%BB%E5%9B%BE%E8%A1%A8%E3%80%82%EF%BC%88Minitab%20%E5%9C%A8%E6%8A%A5%E5%91%8A%E4%B8%AD%E7%9A%84%E8%AF%84%E4%BC%B0%E9%80%89%E9%A1%B9%E8%A6%81%E5%B0%91%E5%BE%97%E5%A4%9A%EF%BC%8C%E4%BD%86%E5%A6%82%E6%9E%9C%E6%82%A8%E9%A6%96%E5%85%88%E9%9C%80%E8%A6%81%E5%88%86%E5%B8%83%E5%9B%BE%EF%BC%8C%E9%82%A3%E4%B9%88%E8%BF%99%E6%98%AF%E6%AC%A1%E8%A6%81%E7%9A%84%E3%80%82%EF%BC%89%E7%A4%BA%E4%BE%8B%EF%BC%8C%E4%BD%BF%E7%94%A8%20Big%20class.jmpMinitab%20%E4%B8%AD%E7%9A%84%E6%95%B0%E6%8D%AE%EF%BC%9A%E8%87%AA%E5%8A%A8%E8%AE%BE%E7%BD%AE%EF%BC%8C%E5%9C%A8%E5%AF%B9%E8%AF%9D%E7%AA%97%E5%8F%A3%20jmp%20%E4%B8%AD%E5%8D%95%E5%87%BB%203%20%E6%AC%A1%EF%BC%88%E6%97%A0%20JSL%EF%BC%8C%E5%8F%AA%E6%9C%89%E6%A0%87%E5%87%86%E9%80%89%E9%A1%B9%EF%BC%891.%20%E5%9B%BE%E5%BD%A2%E7%94%9F%E6%88%90%E5%99%A8%E8%87%AA%E5%8A%A8%E8%AE%BE%E7%BD%AE%20y%20%E8%BD%B4%E6%89%8B%E5%8A%A8%E8%AE%BE%E7%BD%AE%E4%B8%BA%E6%A6%82%E7%8E%87%E6%AD%A3%E6%80%81%E5%B9%B6%E8%B0%83%E6%95%B4%E4%B8%BA%200.01%20%E5%92%8C%200.99%202.%20%E7%BB%88%E8%BA%AB%E5%88%86%E5%B8%83%E8%87%AA%E5%8A%A8%E8%AE%BE%E7%BD%AE%E3%80%82%E5%9B%BE%E5%BD%A2%E5%BE%88%E6%BC%82%E4%BA%AE%EF%BC%8C%E4%BD%86%E6%98%AF-%20%E6%B2%A1%E6%9C%89%E9%9D%A2%E6%9D%BF%E9%80%89%E9%A1%B9-%20%E6%B2%A1%E6%9C%89%E5%85%B3%E4%BA%8E%E5%88%86%E5%B8%83%E7%B1%BB%E5%9E%8B%EF%BC%88%E6%AD%A3%E6%80%81%E3%80%81%E5%A8%81%E5%B8%83%E5%B0%94%E2%80%A6%E2%80%A6%EF%BC%89%E5%92%8C%20CI%20%E7%9A%84%E4%BF%A1%E6%81%AF-%20%E4%BD%BF%E7%94%A8%E2%80%9C%E5%A4%8D%E5%88%B6%E5%9B%BE%E5%BD%A2%E2%80%9D%E5%A4%8D%E5%88%B6%E6%97%B6%E7%BC%BA%E5%B0%91%E5%9B%BE%E4%BE%8B%EF%BC%88%E5%9C%A8%E5%8E%9F%E5%A7%8B%E6%8A%A5%E5%91%8A%E4%B8%AD%E5%8F%AF%E7%94%A8%EF%BC%89%E6%91%98%E8%A6%81%EF%BC%9A%E5%9B%BE%E5%BD%A2%E7%94%9F%E6%88%90%E5%99%A8%E4%B8%AD%E7%9A%84%E6%AD%A4%E7%B1%BB%E5%9B%BE%E5%BD%A2%E5%A6%82%E6%9E%9C%E4%BF%AE%E5%A4%8D%E4%BA%86%E4%B8%8A%E8%BF%B0%E9%97%AE%E9%A2%98%EF%BC%8C%E5%B0%86%E4%B8%8D%E8%83%9C%E6%84%9F%E6%BF%80%E3%80%82%E8%80%8C%E4%B8%94%E4%BC%BC%E4%B9%8E%E5%A4%A7%E5%A4%9A%E6%95%B0%E9%83%A8%E5%88%86%E5%B7%B2%E7%BB%8F%E5%8F%AF%E7%94%A8%EF%BC%8C%E4%BD%86%E6%9C%89%E6%89%80%E4%B8%8D%E5%90%8C%E3%80%82%E5%9C%B0%E7%82%B9%2F%E5%B9%B3%E5%8F%B0%EF%BC%9F%3C%2FDIV%3E%3C%2FDIV%3E%3C%2FNOSCRIPT%3E%3C%2FDIV%3E%3C%2FDIV%3E%3CP%3EGraph%20Builder%20%E4%B8%8D%E5%A4%AA%E5%8F%AF%E8%83%BD%E9%80%9A%E8%BF%87%20Life%20Distribution%20%E6%8F%90%E4%BE%9B%E6%89%80%E6%9C%89%E5%8A%9F%E8%83%BD%3C%2FP%3E%3CP%3E%20%3C%2FP%3E%3CP%3E%3CSTRONG%3E%E6%82%A8%E5%B8%8C%E6%9C%9B%E7%9C%8B%E5%88%B0%E4%BB%80%E4%B9%88%E6%94%B9%E8%BF%9B%EF%BC%9F%3C%2FSTRONG%3E%3C%2FP%3E%3CP%3E%3CSTRONG%3E%3CBR%20%2F%3E%3C%2FSTRONG%3E%E5%AF%B9%E4%BA%8E%E5%AF%BF%E5%91%BD%E5%88%86%E5%B8%83%EF%BC%8C%E6%B7%BB%E5%8A%A0%E4%B8%80%E9%A1%B5%E5%8C%85%E5%90%AB%E6%89%80%E6%9C%89%E5%9B%BE%E8%A1%A8%E7%9A%84%E6%A6%82%E8%A7%88%E5%9B%BE%EF%BC%9A%3C%2FP%3E%3CP%3E%EF%BC%88%E6%9C%80%E4%BD%B3%EF%BC%89%E4%B8%8E%E5%AF%BF%E5%91%BD%E5%88%86%E5%B8%83%E7%9A%84%E8%89%AF%E5%A5%BD%E6%8B%9F%E5%90%88%3C%2FP%3E%3CP%3E%EF%BC%88%E4%B9%9F%E5%8F%AF%E4%BB%A5%EF%BC%89%E4%BD%9C%E4%B8%BA%E6%B2%A1%E6%9C%89%E6%8B%9F%E5%90%88%E6%9B%B2%E7%BA%BF%E7%9A%84%20GraphBuilder%20%E5%9B%BE%3C%2FP%3E%3CP%3E%20%3C%2FP%3E%3CP%3E%E4%B9%9F%E8%AE%B8%3C%2FP%3E%3CP%3Ea%EF%BC%89%E6%9C%89%E5%85%B3%E5%BA%95%E5%B1%82%E6%8B%9F%E5%90%88%E7%9A%84%E4%BF%A1%E6%81%AF%EF%BC%88%E4%BE%8B%E5%A6%82%E5%9C%A8%20Minitab%20%E4%B8%AD%EF%BC%89%3C%2FP%3E%3CP%3Eb)%20%E5%8D%95%E5%87%BB%E6%8C%89%E9%92%AE%E5%A4%8D%E5%88%B6%E5%88%B0%E5%89%AA%E8%B4%B4%E6%9D%BF%EF%BC%88%E5%8C%85%E6%8B%AC%E6%9D%A5%E8%87%AA%20a%EF%BC%89%E7%9A%84%E4%BF%A1%E6%81%AF%E5%92%8C%E5%9B%BE%E4%BE%8B%EF%BC%89%3C%2FP%3E%3CP%3Ec)%20%E5%85%A8%E5%B1%80%E6%9B%B4%E6%94%B9%E9%80%82%E9%85%8D%E8%AE%BE%E7%BD%AE%E7%9A%84%E9%80%89%E9%A1%B9%E3%80%82%3C%2FP%3E%3CP%3E%20%3C%2FP%3E%3CP%3E%3CSTRONG%3E%E8%BF%99%E4%B8%AA%E6%83%B3%E6%B3%95%E4%B8%BA%E4%BB%80%E4%B9%88%E9%87%8D%E8%A6%81%EF%BC%9F%3C%2FSTRONG%3E%3C%2FP%3E%3CP%3E%E4%B8%8D%E2%80%9C%E9%87%8D%E8%A6%81%E2%80%9D%3C%2FP%3E%3CP%3E%20%3C%2FP%3E%3CP%3E%20%3C%2FP%3E%3CP%3E%3CSTRONG%3E%3CA%20href%3D%22https%3A%2F%2Fcommunity.jmp.com%2Ft5%2Fforums%2Fsearchpage%2Ftab%2Fmessage%3Ffilter%3Dlocation%2CauthorId%26amp%3Bq%3Dfeature%26amp%3Blocation%3Didea-board%3Ajmp-wish-list%26amp%3Bauthor_id%3D26800%22%20target%3D%22_self%22%3E%E5%85%B6%E4%BB%96%E6%84%BF%E6%9C%9B%3CSPAN%20class%3D%22lia-inline-image-display-wrapper%20lia-image-align-inline%22%20image-alt%3D%22hogi_2-1702196401638.png%22%20style%3D%22width%3A%2036px%3B%22%3E%3CSPAN%20class%3D%22lia-inline-image-display-wrapper%22%20image-alt%3D%22hogi_2-1702196401638.png%22%20style%3D%22width%3A%2036px%3B%22%3E%3Cspan%20class%3D%22lia-inline-image-display-wrapper%22%20image-alt%3D%22hogi_2-1702196401638.png%22%20style%3D%22width%3A%2036px%3B%22%3E%3Cimg%20src%3D%22https%3A%2F%2Fcommunity.jmp.com%2Ft5%2Fimage%2Fserverpage%2Fimage-id%2F59505i92BA52D1289B6F5C%2Fimage-dimensions%2F36x39%3Fv%3Dv2%22%20width%3D%2236%22%20height%3D%2239%22%20role%3D%22button%22%20title%3D%22hogi_2-1702196401638.png%22%20alt%3D%22hogi_2-1702196401638.png%22%20%2F%3E%3C%2Fspan%3E%3C%2FSPAN%3E%3C%2FSPAN%3E%3C%2FA%3E%3C%2FSTRONG%3E%3C%2FP%3E%3C%2FLINGO-BODY%3E%3CLINGO-LABS%20id%3D%22lingo-labs-795041%22%20slang%3D%22en-US%22%20mode%3D%22UPDATE%22%3E%3CLINGO-LABEL%3E%E6%95%B0%E6%8D%AE%E6%8E%A2%E7%B4%A2%E4%B8%8E%E5%8F%AF%E8%A7%86%E5%8C%96%3C%2FLINGO-LABEL%3E%3CLINGO-LABEL%3E%E5%88%86%E4%BA%AB%E5%92%8C%E4%BA%A4%E6%B5%81%E7%BB%93%E6%9E%9C%3C%2FLINGO-LABEL%3E%3C%2FLINGO-LABS%3E%3CLINGO-SUB%20id%3D%22lingo-sub-797479%22%20slang%3D%22en-US%22%20mode%3D%22CREATE%22%3E%E5%9B%9E%E5%A4%8D%EF%BC%9A%E5%AF%BF%E5%91%BD%E5%88%86%E5%B8%83%20-%20%E5%8D%95%E9%A1%B5%E6%A6%82%E8%BF%B0%20-%20%E7%8A%B6%E6%80%81%E6%9B%B4%E6%94%B9%E4%B8%BA%EF%BC%9A%E5%B7%B2%E7%A1%AE%E8%AE%A4%3C%2FLINGO-SUB%3E%3CLINGO-BODY%20id%3D%22lingo-body-797479%22%20slang%3D%22en-US%22%20mode%3D%22CREATE%22%3E%3CP%3E%E6%84%9F%E8%B0%A2%E6%82%A8%E7%9A%84%E5%BB%BA%E8%AE%AE%E3%80%82%3C%2FP%3E%3C%2FLINGO-BODY%3E
Choose Language Hide Translation Bar

Life Distribution - one Page Overview

☐ cool new feature
☐ could help many users!

☐ removes a bug

☑ nice to have

☐ nobody needs it

 

What inspired this wish list request? 
- The analysis options in Life Distribution are wonderful.

- Graph Builder is great for generating condensed Trellis Plots.

How to combine both of them?

https://community.jmp.com/t5/JMP-Wish-List/Add-CDFs-to-Graph-Builder/idc-p/773025/highlight/true#M57...

View more...
‎07-15-2024 12:46 PM

Distribution graphs are the main reason we still use Minitab in our department.

Currently it still produces such graphs faster and easier than jmp.

(Minitab has much less evaluation options in the reports, but that's secondary if you first need the distribution graphs.)

 

Example w/ data from Big class.jmp

Minitab: Automatic settings, 3 clicks in dialogue window

hogi_4-1725443561083.png

 

 

jmp (no JSL, just std. options)

1. Graph Builder

Automatic settings  

hogi_5-1725443559981.png

 

 

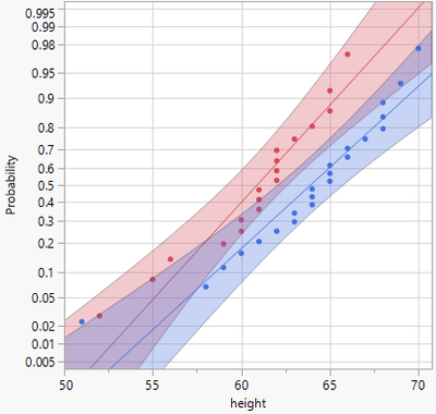
y-axis manually set to Probability Normal and adjusted to 0.01 and 0.99

hogi_6-1725443560712.png

 

 

2. Lifetime Distribution

Automatic settings. Nice graphics, but

- No panel option

- No info about distribution type (Normal, Weibull,...) and CI

- Legend missing when copied w/ "Copy Graph" (available in original report)

hogi_7-1725443560975.png

 

Summary: Such graphs in the graph builder w/ the above issues fixed would really be appreciated.

And it seems like most pieces are already available, but in diff. places/platforms?

It's unlikely that Graph Builder will be enhanced with all the functionality which is available via Life Distribution

 

What is the improvement you would like to see? 


For Life Distribution, add an one page overview graph with all plots:

(best)           with the nice fits from Life Distribution

(also OK)     as a GraphBuilder Plot without fit curves

 

maybe with

a)  info about the underlying fit (like in Minitab)

b)  button for single click copy to clipboard (incl.info from a) and the legend)

c)  options to globally change the fitting settings.

 

Why is this idea important? 

not "important"

 

 

other wishes from hogi_2-1702196401638.png

1 Comment
mia_stephens
Staff
Status changed to: Acknowledged

Thank you for these suggestions.