在實驗設計領域中,混料設計(mixture design)在現實生活中有許多的應用,如化學溶液配置、醫藥產業製劑的配製等。傳統的混料設計在成份的條件限制下,各成分比例會受彼此配置的影響,甚至各成分之間的比例也有限制式,前人也針對不同的實驗情景發展出不同的混料設計方法如單形質心法(simplex centroid)、極端頂點法(extreme vertices)等。
隨著產業以及製程的複雜性變高,傳統的混料設計已經不滿足既有的需求,加上新發展電腦優化方法如D-optimal, I-optimal等發展,實驗設計的因子組合也不僅止於單一類型的因子,所以這篇文章將會運用幾個實際案例,以 JMP 定製設計(Custom Design) 搭配混料因子及非混料參數設計實驗挑選效應項,針對混料因子與非混料參數間彼此獨立以及有交互作用時的兩種場景,來分別看看如何開始混料實驗與分析。
首先,傳統常用估計的混料模型種類如下:




非混料因子常見設計模型表達式如下:

一般實驗設計,混料因子與非混料因子被視為獨立的存在,但兩者有可能存在交互作用,所以接下來我們分別討論上述兩種情形。
第一種情形:兩種因子間彼此獨立
模型如下:

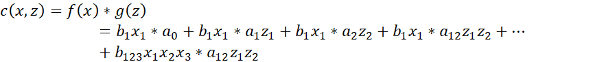
f(x) 為混料模型,g(z) 非混料參數模型,c(x,z) 整合了兩者互為獨立的模型,此模型又稱線性加成模型。
第二種情形:兩種因子間存在交互作用,模型複雜且估計項多
模型如下:

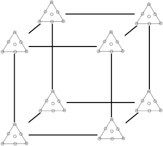
假定由三個混料因子以及兩個製程參數組合,


其中 f(x) 為特殊三次混料模型,g(z) 為二次模型,所以考慮交互作用下,模型為:

考慮交互作用的模型示意圖如下,製程參數的設計為立方體,在立方體頂點上再加入混料設計的單體(simplex),所組成的實驗設計,如下圖:

在設計實驗時我們須注意,由於混料設計著重的是預測,所以以電腦優化方法去設計模型時,我們要比較設計出來的效率,如G-efficacy(降低設計空間最大的預測變異數)以及平均預測變異數,此時也可以比較使用D-optimal與I-optimal時,來判斷誰的效率優劣。
以下透過幾個實例來介紹,並以JMP 定製設計(Custom Design)平台去設計實驗。
案例1:兩種因子彼此獨立
第一個例子註1為半導體乾蝕刻製程的例子,此例子使用線性加成的模型去擬合,敘述如下:

總共8因子的 乾蝕刻實驗:
- 3種製程氣體: A, B, C 為混料型因子
- 5個製程參數因子: Power, Pressure, Temperature, Time, Total Flow
並且給定氣體A與B的比例限制示:

氣體C則是控制在10%到25%的比例,
反應變數則是設定ER(蝕刻率)目標值=100與ER Std(蝕刻率的標準差)要越小越好,
以下為反應變數Y與因子X的設定值表,
|
Response
|
Goal
|
|
ER
|
Target=100
|
|
ER Std
|
Minimize
|
|
Factor
|
Low
|
High
|
|
Power
|
25
|
75
|
|
Press
|
100
|
200
|
|
Temp
|
25
|
40
|
|
time
|
30
|
45
|
|
Total Flow
|
80
|
120
|
|
Gas A
|
0
|
1
|
|
Gas B
|
0
|
1
|
|
Gas C
|
0.1
|
0.25
|
在定製設計(Custom Design)平台下分別設定好Y與X變量如圖1,

圖1
氣體A與氣體B的比例限制式可拆解如下(i)(ii),並將限制式加入如圖2,
(i) 
(ii) 

圖2
分別考慮製程因子的主效應與交互作用項以及混料因子的主效應以及交互作用項加入模型內,設計出24次實驗,如圖3,

圖3
在收集資料前可以使用比較設計(Compare Design)平台去比較指標,如Power(越高越好), Prediction Variance(越小越好), Design Space下的Prediction Variance變化(越小越好)和Design Efficiency(以G-efficiency和I-efficiency為主,值越大越好)如下圖,以此例去做比較兩種設計差異不大,

Power

Prediction Variance

Design Space Prediction Variance

Design Efficiency
接著使用最小平方法擬合模型如圖4

圖4
篩選出顯著的因子如圖5,

圖5
可解釋Y變數的比例如圖6,根據選定顯著效應項可解釋ER的R方為0.99,可調整R方為0.98,可解釋ER Std的R方為0.87,可調整R方為0.64,代表這些效應項所建立的模型可進行下一步的預測。至於ER Std可調整R方較小,預測刻畫器置信區間較寬,後續如果想要改進ER Std預測的精度,可以利用擴充設計增加實驗次數。
|
|
|
圖6
|
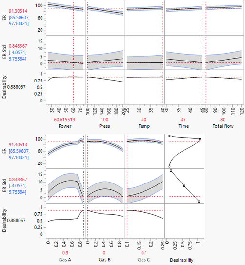
使用預測刻畫器搭配混料刻畫器可找出最佳設定組合以及可操作的作業空間,如圖7與圖8:

圖7


圖8
從圖上可以看出,最優的ER為91.3,而ER Std為0.84,Power, Press, Temp, Total Flow, Gas A, Gas B, Gas C的設定值分別為:60.61, 100, 40, 45, 80, 0.9, 0, 0.1,而三元圖空白區域代表可操作的作業空間。
後續如果想要改進ER Std預測的精度,可以利用擴增設計增加實驗次數。
案例2:兩種因子存在交互
第二個例子引用Optimum Experimental Designs. New York: Oxford University Press. Atkinson, A. C., and Donev, A. N.(1992)例子,其中反應變量為Damping阻尼係數為用來量測丙烯腈的電磁阻尼,以及三種混料成分組合如下:
CuSO4,比例介在 0.2 到 0.8,
Na2S2O3,比例介在0.2 到 0.8,
Glyoxal ,比例介在 0 到 0.6,
包含一個非混料類別因子:
Wavelength波長有三個水準: L1, L2, L3,因為實驗者只對這三個水準有興趣,
同樣在定製設計(Custom Design)平台下輸入Y與X變量,如圖9,

圖9
加入所有因子的交互作用項,其中波長因子主效應會被自動刪除,因為會有共線性的影響,生成18次實驗如圖10,

圖10
同例1,可使用比較設計比較不同電腦優化方法有無差異,此例並沒有差異所以就不展示結果。
直接使用Fit Model就可以將剛才的模型項自動帶入做估計如下圖11,

圖11
在此,需要注意的一點是,若直接在Fit Model自己選擇要估計的效應項時,有可能造成共線性發生,如下圖12,

圖12
至於要如何避免共線性的發生,由於文章篇幅有限,所以在此提供幾個參考方法:
- 使用stepwise方法挑選模型
- 使用JMP Pro的Generalized Regression處理
- 如果是做實驗設計,在挑選效應項時,JMP會提供警告並移除可能造成共線性的效應項,
- 確認變數相關性並搭配多變量方法處理再建模等。
篩選出顯著的因子如圖13,

圖13
可解釋Y變數的比例如圖14,根據選定顯著效應項可解釋Damping的R方為0.88,可調整R方為0.82,代表這些效應項所建立的模型可進行下一步的預測。

圖14
使用預測刻畫器搭配混料刻畫器,可找出最佳設定組合以及可操作的作業空間,如圖15與圖16,
最優的Damping為9.36,CuSO4, Na2S2O3, Glyoxal, Wavelength的設定值分別為0.629, 0.37, 0和 L2,可作業空間為三元圖空白的區域。

圖15


圖16
小結
這篇文章簡單介紹了兩種不同的模型,同時搭配兩個案例,來分別說明混料因子與非混料參數在結合模型時可能遇到的問題點。礙於篇幅所限,在建模的流程及方法上著墨不多,值得注意的是,當兩種不同因子類型具有交互作用時,便需要考慮不同的建模手法,當因子數增加,模型會更加複雜。期待透過這篇文章的說明,讓讀者能夠熟悉JMP DOE基本操作,嘗試使用、並實際應用到日常工作中。
若對於混料設計有興趣,也可以參考以下連結,觀看更多JMP DOE資源:

參考資料:
- 註1為引用https://community.jmp.com/t5/Discovery-Summit-Korea-2020/Design-and-Analysis-of-a-Multiple-Response-... 案例
- https://community.jmp.com/kvoqx44227/attachments/kvoqx44227/sample-data/69/1/Mixture_with_Process.pd... 混料設計介紹
You must be a registered user to add a comment. If you've already registered, sign in. Otherwise, register and sign in.