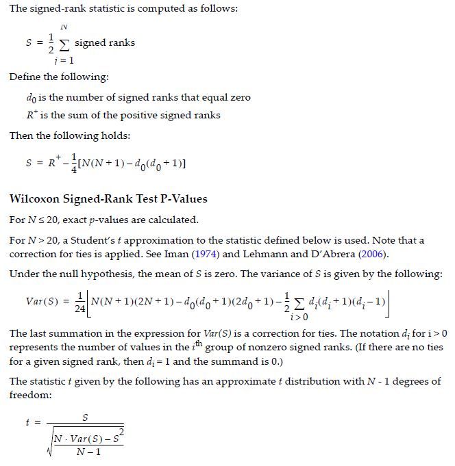
This information comes from the Base SAS documentation for PROC UNIVARIATE. All the symbols were unfortunately lost in the copy and paste operation but you can see the full explanation with the link provided.
I believe that the same computation is used by JMP but if you still find disagreement between your result and JMP, contact JMP Technical Support.
Wilcoxon Signed Rank Test
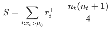
The signed rank statistic S is computed as
where is the rank of after discarding values of , and is the number of values not equal to . Average ranks are used for tied values.
If , the significance of S is computed from the exact distribution of S, where the distribution is a convolution of scaled binomial distributions. When , the significance of S is computed by treating
as a Student’s t variate with degrees of freedom. V is computed as
where the sum is over groups tied in absolute value and where is the number of values in the ith group (Iman 1974; Conover 1980). The null hypothesis tested is that the mean (or median) is , assuming that the distribution is symmetric. Refer to Lehmann and D’Abrera (1975).