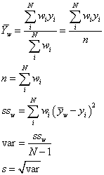
The calculation is described here: weighted arithmetic mean. Use these formulas to understand the quantities in the results.

Use the script to illustrated the calculation steps. Open the Log before running the scripts.
Names Default to Here( 1 );
// open examle
dt = Open( "$SAMPLE_DATA/Big Class.jmp" );
dt << New Column( "Row Weight", Numeric, Continuous,
Values(
[0.466037725564092, 3.88878780649975, 2.4091640743427, 2.11785415420309,
4.79403748759069, 2.30050488375127, 1.58066931064241, 3.18035316769965,
1.57862229505554, 0.304837201256305, 3.91091752331704, 2.63118736562319,
3.27893625595607, 3.02616479573771, 1.75871466752142, 1.95901472005062,
1.4666282152757, 2.11275573237799, 2.02008433057927, 4.89492299617268,
0.493469994980842, 4.89886545110494, 2.22502982476726, 4.72375275800005,
0.830245516262948, 1.67820788919926, 3.44848407898098, 4.0259948768653,
3.2834971731063, 4.52901363372803, 3.88477634754963, 4.72076337435283,
4.64333190233447, 3.1073961337097, 0.579181439243257, 2.74820194579661,
0.191317443968728, 2.94498334173113, 2.51307534286752, 1.23225981369615]
)
);
// launch distribution analysis
biv = dt << Distribution(
Weight( :row weight ),
Continuous Distribution(
Column( :height ),
Customize Summary Statistics(
Sum Wgt( 1 ),
Variance( 1 ),
Corrected SS( 1 ),
Set Alpha Level( 0.05 )
)
),
SendToReport(
Dispatch( {}, "height", OutlineBox, {Set Title( "weighted height" )} )
)
);
// compute weight standard deviation and show intermediate results
y = :height << Get As Matrix; // data
w = :row weight << Get As Matrix; // weights
n = Sum( w ); // sum of weights
wYBar = (w`*y / n)[1]; // weighted average
ss = (w`*(y-wYBar)^2)[1]; // corrected weighted sum of squares
var = ss / (N Row( y )-1); // weighted variance, unbiased
s = Sqrt( var ); // weighted standard deviation
Show( wYbar, s, ss, var ); // view all results in Log