One of the nice features of the page field is the ability to export a PDF or PPT with many pages, but I'm having trouble customizing the axes on the second and subsequent pages.
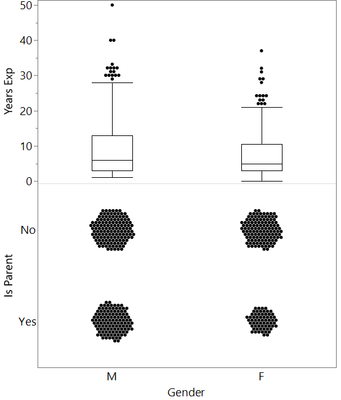
Starting with the consumer preferences data set, I can make a graph like this with customized y axis labels. For example I customized "years at current employer" to read "Years Exp"

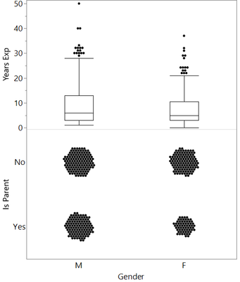
Then if i add "age group" in the page field

You'll notice that the custom axes are not kept for the later pages.
If I try copying axes properties and broadcasting with ctrl+paste axes properties, it broadcasts properties from a single y axis to all graphs and y axes, which causes a problem because "years exp" has a different range than "is parent"

Is there a good way in graph builder or JSL to broadcast the customized axes properties when dealing with multiple stacked y axes, for example?