Hi @JMP38401 ,
The analyses are showing the same thing, but correctly "categorize" the Type of vehicle by weight, but do it in different ways because one is considered an ordered list of weight values, whereas the other is considered any set of continuous weight values -- not necessarily ordered by their values. You'll also notice that the parameter estimates are different for the different fits because of this.
Both have k-1 curves as you point out, but they have k regions that are bounded by the curves. It might help if you color the rows based on the vehicle type: Rows > Color or Mark by Column > select Type. Then when you view the fits, you can see how the logistic fit has essentially partitioned the data, see the below examples from the Car Physical Data.jmp file. Treating weight as ordinal is easier to interpret in the fit model graph, and provides a marginally better fit. After saving the prediction formulas from each fit to the data table, you can then use the "Most Likely Type" as the X and Type as Y in the Fit Model platform. If you look at Fit Details, you'll see the fit statistics for weight being ordinal is slightly better.
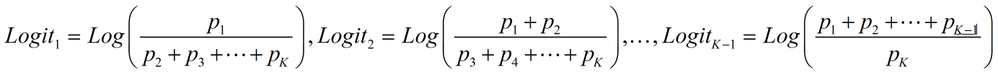
My understanding of the fit is that each level of the response (minus one level) gets it's own probability curve based on a linear fit function that it then converts to a cumulative probability using the logist function. It then calculates the probability for each type by subtracting off one cumulative value from the next. The final level is just the remainder such that all the probabilities need to sum to 1. This would be if the X factor is ordinal. If it's just continuous, then it treats it different and performs the calculations for the probability functions differently. In either case, it determines the Most Likely Type by evaluating a If Max() function on the probability for types. Whichever one of those has the largest value, it assigns that row a most likely vehicle type. Both fits aren't that good as they each have about a 55% misclassification rate, which is really high.


Hope this helps!,
DS