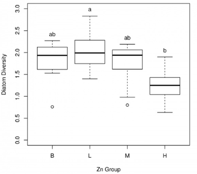
Hi! I have JMP Pro 14. I´m creating several boxplots where I want to show the significant differences between categories with letters above the Q3 like in this graph:

How can I put the letters a and b above the boxes? My plot is this one:

 
Mi Graph Builder code is: 
Graph Builder(
	Size( 571, 448 ),
	Show Control Panel( 0 ),
	Show Legend( 0 ),
	Show Title( 0 ),
	Show Footer( 0 ),
	Variables( X( :Cat ), Y( :Name( "Pl/min" ) ) ),
	Elements( Box Plot( X, Y, Legend( 6 ), Box Style( "Solid" ) ) ),
	SendToReport(
		Dispatch(
			{},
			"Cat",
			ScaleBox,
			{Reversed Scale, Label Row(
				{Set Font Size( 12 ), Tick Mark( Label( "6" ), Label( "6 " ) ),
				Tick Mark( Label( "7" ), Label( "7 " ) )}
			)}
		),
		Dispatch(
			{},
			"Pl/min",
			ScaleBox,
			{Min( 5.5 ), Max( 18 ), Inc( 2 ), Minor Ticks( 1 )}
		),
		Dispatch(
			{},
			"400",
			ScaleBox,
			{Legend Model(
				6,
				Properties(
					0,
					{Line Color( 32 ), Fill Color( 0 )},
					Item ID( "Pl/min", 1 )
				)
			)}
		),
		Dispatch( {}, "X title", TextEditBox, {Set Font Size( 12 )} ),
		Dispatch( {}, "Y title", TextEditBox, {Set Font Size( 12 )} ),
		Dispatch(
			{},
			"Graph Builder",
			FrameBox,
			{DispatchSeg(
				Box Plot Seg( "Box Plot (4)" ),
				{Line Color( {128, 128, 128} ), Fill Color( "Medium Dark Red" )}
			), DispatchSeg(
				Box Plot Seg( "Box Plot (5)" ),
				{Line Color( {128, 128, 128} ), Fill Color( "Medium Dark Yellow" )}
			), DispatchSeg(
				Box Plot Seg( "Box Plot (6)" ),
				{Line Color( "Medium Dark Yellow" ),
				Fill Color( "Medium Dark Green" )}
			), DispatchSeg(
				Box Plot Seg( "Box Plot (7)" ),
				{Line Color( "Medium Dark Yellow" ),
				Fill Color( "Medium Dark BlueCyan" )}
			), DispatchSeg(
				Box Plot Seg( "Box Plot (8)" ),
				{Line Color( "Medium Dark Yellow" ),
				Fill Color( "Medium Dark Magenta" )}
			), DispatchSeg(
				Box Plot Seg( "Box Plot (9)" ),
				{Line Color( "Medium Dark Purple" ),
				Fill Color( "Medium Dark Fuchsia" )}
			)}
		)
	)
);
Thanks in advance. 
Magali.