User Community
cancel
Turn on suggestions
Auto-suggest helps you quickly narrow down your search results by suggesting possible matches as you type.
Showing results for 
Show  only  | Search instead for 
Did you mean: 
Sign In
Sign In
  • JMP.com
  • User Community
  • Online Documentation
  • My JMP
  • JMP Store
  • JMP Public
  • JMP Marketplace
  • Discovery Summits
  • Discussions
  • Learn JMP
  • Support
  • Events
    • Mastering JMP
    • Academic Webinars
    • Getting Started Series
    • Hands-on Workshops
    • JMP Users Groups
    • Discovery Summits
  • JMP Blogs
  • JMP Wish List
  • Community
    • About the Community
    • File Exchange
    • JMP Technical Resources
    • JMP Users Groups
    • Interest Groups
    • JMP Discovery Summit Series
    • JMP Software Administrators
cancel
Turn on suggestions
Auto-suggest helps you quickly narrow down your search results by suggesting possible matches as you type.
Showing results for 
Show  only  | Search instead for 
Did you mean: 
Sign In
Sign In
  • Discussions
  • Learn JMP
  • Support
  • Events
  • Mastering JMP
  • Academic Webinars
  • Getting Started Series
  • Hands-on Workshops
  • JMP Users Groups
  • Discovery Summits
  • JMP Blogs
  • JMP Wish List
  • About the Community
  • File Exchange
  • JMP Technical Resources
  • JMP Users Groups
  • Interest Groups
  • JMP Discovery Summit Series
  • JMP Software Administrators

Images in Profile (Duane_Hayes)

  • Albums
  • All Images
Album Privacy: Public
  • « Previous
    • 1
    • 2
    • 3
  • Next »

Profile (Duane_Hayes)

  • PChart1.JPG
  • PChart2.JPG
  • UChart1.JPG
  • UChart2.JPG
  • UChart3.JPG
  • XRCharts.JPG
  • XRCharts2.JPG
  • XSCharts.JPG
  • XSCharts2.JPG
  • XSCharts3.JPG
  • IRCharts.JPG
  • IRCharts2.JPG
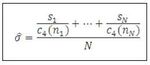
  • EstimateSigma.JPG
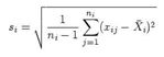
  • stddev.JPG
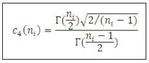
  • C4.JPG
  • lambdai.JPG
  • xbari.JPG
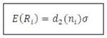
  • sigma.JPG
  • sigma2.JPG
  • EWMA1.JPG
  • EWMA2.JPG
  • EWMA3.JPG
  • xbari.JPG
  • sigma.JPG
  • uwma1.JPG
  • CL1.JPG
  • PL1.JPG
  • xbari.JPG
  • sigma.JPG
  • FigureA.JPG
  • © 2025 JMP Statistical Discovery LLC. All Rights Reserved.
  • Terms of Use
  • Privacy Statement
  • Contact Us