User Community
cancel
Turn on suggestions
Auto-suggest helps you quickly narrow down your search results by suggesting possible matches as you type.
Showing results for 
Show  only  | Search instead for 
Did you mean: 
Sign In
Sign In
  • JMP.com
  • User Community
  • Online Documentation
  • My JMP
  • JMP Store
  • JMP Public
  • JMP Marketplace
  • Discovery Summits
  • Discussions
  • Learn JMP
  • Support
  • Events
    • Mastering JMP
    • Academic Webinars
    • Getting Started Series
    • Hands-on Workshops
    • JMP Users Groups
    • Discovery Summits
  • JMP Blogs
  • JMP Wish List
  • Community
    • About the Community
    • File Exchange
    • JMP Technical Resources
    • JMP Users Groups
    • Interest Groups
    • JMP Discovery Summit Series
    • JMP Software Administrators
cancel
Turn on suggestions
Auto-suggest helps you quickly narrow down your search results by suggesting possible matches as you type.
Showing results for 
Show  only  | Search instead for 
Did you mean: 
Sign In
Sign In
  • Discussions
  • Learn JMP
  • Support
  • Events
  • Mastering JMP
  • Academic Webinars
  • Getting Started Series
  • Hands-on Workshops
  • JMP Users Groups
  • Discovery Summits
  • JMP Blogs
  • JMP Wish List
  • About the Community
  • File Exchange
  • JMP Technical Resources
  • JMP Users Groups
  • Interest Groups
  • JMP Discovery Summit Series
  • JMP Software Administrators

My Images for Duane_Hayes

  • Albums
  • All Images
Image Options
  • Flag Image for Review
  • Bookmark
  • Subscribe to RSS Feed

Album: Profile (Duane_Hayes)

by Staff (Retired) Duane_Hayes
notation4.JPG
notation5.JPG
notation6.JPG
IRChart1.JPG
IRChart2.JPG
CChart1.JPG
CChart2.JPG
NPChart1.JPG
NPChart2.JPG
NPChart3.JPG
PChart1.JPG
PChart2.JPG
UChart1.JPG
UChart2.JPG
UChart3.JPG
XRCharts.JPG
XRCharts2.JPG
XSCharts.JPG
XSCharts2.JPG
XSCharts3.JPG
IRCharts.JPG
IRCharts2.JPG
EstimateSigma.JPG
stddev.JPG
C4.JPG
lambdai.JPG
xbari.JPG
sigma.JPG
sigma2.JPG
EWMA1.JPG
EWMA2.JPG
EWMA3.JPG
xbari.JPG
sigma.JPG
uwma1.JPG
CL1.JPG
PL1.JPG
xbari.JPG
sigma.JPG
FigureA.JPG
FigureB.JPG
FigureC.JPG
MultivariateApproach.JPG
UnivariateSplitPlotApproach.JPG
MixedModelApproach.JPG
Figure 1: Suppress Eval in the Formula Editor
Headshot4.jpg
1692985098571.jpg
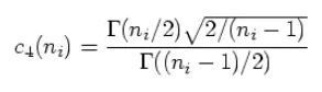
C4.JPG
Previous
C4.JPG
Next
Added ‎12-21-2022 09:19 AM
0 Kudos

You must be a registered user to add a comment on this image. If you've already registered, sign in. Otherwise, register and sign in.

  • Comment
  • © 2025 JMP Statistical Discovery LLC. All Rights Reserved.
  • Terms of Use
  • Privacy Statement
  • Contact Us