User Community
cancel
Turn on suggestions
Auto-suggest helps you quickly narrow down your search results by suggesting possible matches as you type.
Showing results for 
Show  only  | Search instead for 
Did you mean: 
Sign In
Sign In
  • JMP.com
  • User Community
  • Online Documentation
  • My JMP
  • JMP Store
  • JMP Public
  • JMP Marketplace
  • Discovery Summits
  • Discussions
  • Learn JMP
  • Support
  • Events
    • Mastering JMP
    • Academic Webinars
    • Getting Started Series
    • Hands-on Workshops
    • JMP Users Groups
    • Discovery Summits
  • JMP Blogs
  • JMP Wish List
  • Community
    • About the Community
    • File Exchange
    • JMP Technical Resources
    • JMP Users Groups
    • Interest Groups
    • JMP Discovery Summit Series
    • JMP Software Administrators
cancel
Turn on suggestions
Auto-suggest helps you quickly narrow down your search results by suggesting possible matches as you type.
Showing results for 
Show  only  | Search instead for 
Did you mean: 
Sign In
Sign In
  • Discussions
  • Learn JMP
  • Support
  • Events
  • Mastering JMP
  • Academic Webinars
  • Getting Started Series
  • Hands-on Workshops
  • JMP Users Groups
  • Discovery Summits
  • JMP Blogs
  • JMP Wish List
  • About the Community
  • File Exchange
  • JMP Technical Resources
  • JMP Users Groups
  • Interest Groups
  • JMP Discovery Summit Series
  • JMP Software Administrators

My Images for tonya_mauldin

  • Albums
  • All Images
Image Options
  • Flag Image for Review
  • Bookmark
  • Subscribe to RSS Feed

Album: Profile (tonya_mauldin)

by Staff tonya_mauldin
new.png
new.png
new.png
Image 1
EWMA2.png
EWMA3.png
EWMA4.png
EWMA5.png
type1_0.png
type1_1.png
type1_2.png
type1_3.png
eq1.png
eq2.png
eq3.png
eq4.png
type1_4.png
type1_5.png
type1_6.png
eq1.png
eq2.png
eq3.png
eq4.png
varchart5.png
varchart1.png
varchart2.png
varchart3.png
varchart4.png
varchart5.png
varchart6.png
cusum0.png
cusum1.png
Image 1
Image 2
Image 3
Image 4
Laney1.png
laney2.png
laney0.png
Laney1.png
laneyeq.png
laney2.png
msa1.png
msa2.png
msa3.png
msa0.png
msa1.png
msa2.png
varchart4.png
varchart4.png
eq4.png
Previous
eq4.png
Next
Added ‎08-08-2022 11:16 AM
0 Kudos
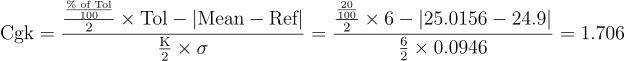
Posted in: Type 1 Gauge Study in JMP 17 - ( ‎03-15-2023 10:23 AM )

You must be a registered user to add a comment on this image. If you've already registered, sign in. Otherwise, register and sign in.

  • Comment
  • © 2025 JMP Statistical Discovery LLC. All Rights Reserved.
  • Terms of Use
  • Privacy Statement
  • Contact Us