What inspired this wish list request?
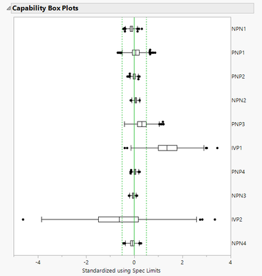
When working with hundreds of different measurements on different scales, comparing them quickly can be difficult. Capability Box Plot is one excellent tool to perform this type of comparison, but extending it beyond that Process Capability does take quite a lot of work. I have written my own add-ins to perform this type of comparison, but I feel like it could be also helpful to have it directly in JMP.
What is the improvement you would like to see?
New column property "Normalization" which would scale the column based on set limits (or maybe this could be added to Spec Limits column property?).
New property could look something like this

Why is this idea important?
Makes comparing different measurements easier with different platforms. For example I could "quickly" perform this type of comparison in graph builder

Process Capability
