EWMA and UWMA Charts
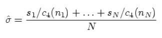
The estimate for σ is
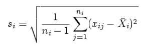
where N is the number of subgroups for which ni≥2, si is the standard deviation of the i th subgroup
and
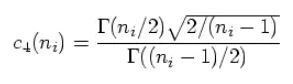
Here

denotes the gamma function and

denotes the i th subgroup mean. A subgroup standard deviation si is included in the claculation only if ni≥2. If the observations are normally distributed, then the expected value of si is c4(ni)σ. Thus,

is the unweighted average of N unbiased estimates of σ.
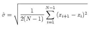
When each subgroup sample contains a single observation (ni=1), the process standard deviation σ is estimated as

where N is the number of observations and xi,x2,...,xn are the individual measurements.
[Previously JMP Note 35442]