

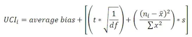
where:

= the critical value of T

= the number of levels for the Standard variable

= the sum of the number of levels for the standard divided by the number of levels for the factor

= the degrees fo freedom for the term(s) in the model
[Previously JMP Note 36125]