EWMA Charts:
The following notation is used for the formulas:

You can compute the limits in the following ways:
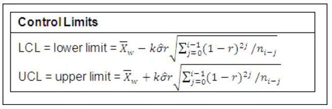
- as a specified multiple (k) of the standard error of Ei above and below the central line. The default limits are computed with k=3 (these are referred to as 3σ limits).
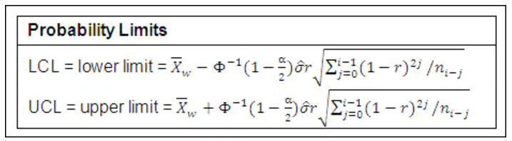
- as probability limits defined in terms of α, a specified probability that Ei exceeds the limits.
The following table presents the formulas for the control limits:

The following table presents the formulas for the probability limits:

These formulas assume that the data are normally distributed. If standard values μ0 and σ0 are available for μ and σ, respectively, replace

with μ0 and

with σ0 in the above formula. Note that the limits vary with both ni and i.
UWMA Charts:
The following notation is used for the formulas:

You can compute the limits in the following ways:
- as a specified multiple (k) of the standard error of Ai above and below the central line. The default limits are computed with k=3 (these are referred to as 3σ limits).
- as probability limits defined in terms of α, a specified probability that Ai exceeds the limits.
The following table presents the formulas for the control limits:

The following table presents the formulas for the probability limits:

These formulas assume that the data are normally distributed. If standard values μ0 and σ0 are available for μ and σ, respectively, replace

with μ0 and replace

with σ0 in the above formula. Note that the limits vary with both ni and i.
[Previously JMP Note 36635]