現代生活對IC的依賴已越來越深,從消費型手機到電動車產業皆脫離不了IC,而未來IC產品朝向體積小,線路更細的製程發展,但是隨著品質要求越來越嚴格,可靠度的標準和要求也越來越細,因為製造IC的製程及步驟非常複雜,影響產品的表現的變數非常多,所以可靠度的測試就顯得非常重要,就產品可靠度來說,一般定義是正常使用下到失效需要多長時間。
IC 產品失效三階段
通常IC產品隨著失效率的不同,可以分為三個特性階段,也就是可靠度熟知的浴盆曲線圖(圖1):
圖1 浴盆曲線

- 第一階段早夭期(Infant Mortality):代表產品使用初期失效率從高點急速下降的過程,其中原因可能因為產品設計或是製程設計不良,因為占總群體一小部分,所以會看到陡下降的失效曲線,如同前述因為製程越來越複雜,如何降低早夭期的失效率到0已不太可能實現,顧客也不希望收到這種產品,所以如何過濾掉這些早夭的產品,通常會利用電場、溫度做加速壽命實驗,即所謂burn-in的流程,如果晶圓代工廠能夠在晶圓製造階段利用電性測試也可以篩檢出這些早夭期的不良品。
- 第二階段正常生命期 (Normal life):也就是產品實際使用的階段,這個階段出現的失效率是最低的,可能由電性干擾所引起短暫的失效,或是隨機的外部缺陷引起,甚至是早夭期的某些過濾不完全的產品引起
- 第三階段為衰敗期 (Wear-Out),在正常使用產品下,實際產品會慢慢達到使用的極限,失效率開始增加,最後根據收集到的數據去定義可靠度的壽命並且確認是否可以符合客戶的需求。
IC產品常見可靠度問題,主要區別以IC元件與IC封裝為主,IC元件常見問題如氧化層崩潰 (oxide breakdown),可能會導致漏電流,甚至造成短路或部分線路失效問題,另外是熱載子射入 (Hot carrier injection, HCI),以MOSFET作為開關元件,如果電載子跑出去正常流動的路徑之外,就會造成開關的特性改變,產生不穩定的情況,所以可以分析如臨界電壓,轉電導度 (transconductance) 等參數隨時間的衰敗過程;至於封裝可靠度,大部分是與封裝材料、製程所造成,所以常見如溫度循環測試,利用高低溫度循環測試,去看有無脫膠或是電性有無變化,此外高速高壓測試也是常見的測試之一,在車載可靠度也很常看見如IC封裝測試類似的可靠度測試。

使用統計方法進行可靠度分析
下面主要來介紹 JMP 可靠度加速分析平台,此平台能夠在較嚴苛的條件下得到產品失效的壽命,並且可以計算出在正常條件下失效的壽命為何,接下來引用一個例子Statistical Methods for Reliability Data by Dr. Meeker and Dr. Escobar, John Wiley & Sons, 1998,我們想要了解介電質崩潰的情況在給定不同電壓下去做加速實驗(100.3, 122.4, 157.1, 219.0, kV),想要了解在50 kV下的壽命為何,首先針對壽命與電壓以線性座標軸方式呈現(圖2),可以觀察到隨著電壓越強,壽命越短,各電壓下的壽命分散情況明顯有差異。
圖2 線性座標

接著將座標軸轉換成對數-對數呈現(圖3),各個電壓下的分散範圍會變得接近,所以接著要使用加速實驗作分析時,數據需要經過轉換才能套用線性模型分析,接著再估計正常條件使用電壓下的壽命時,會比較準確。
圖3 對數-對數座標

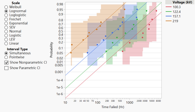
使用可靠度加速分析平台,可以觀察在電壓=219kV時,少數幾點偏移擬合的直線,但大部分還是落在線上,所以用對數常態分配在固定斜率情況下就能夠得到不錯的擬合效果(圖4),
圖4 分布擬合

而根據JMP挑選出來的模型為三參數的迴歸模型,電壓顯著會影響壽命的表現,雖然不同位置和尺度參數的模型與迴歸模型差異不大(圖5),後續可以再多收集幾組資料驗證,最後將預測公式儲存起來(圖6),
圖5 模型挑選結果


圖6 預測公式

如果模型驗證無誤,可以添加在電壓=50kV下的分布曲線(圖7),了解10%,50%,90%分位數失效的位置,或是直接在表格上輸入對應的值(圖8),或是搭配Profile(圖9)即可得出失效機率為何。
圖7 散布圖

圖8 失效機率資料表

圖9 Profile

在擬合模型時,資料轉換可以更容易的使用線性模型去估計,減少曲線模型估計的偏差或是變異過大的情況發生,加上資料尺度轉換後,更容易觀察及確認資料擬合情況,JMP並可以比較不同效應的模型差異及挑選適合的模型,最後並提供估計的公式以及Profile供預測使用。

參考資訊:
- 半導體IC產品可靠度統計 物理與工程第二版
- JMP網路影片:https://www.jmp.com/en_in/events/ondemand/best-practices-in-reliability-data-analysis/accelerated-li...
- 資料來源: http://reliawiki.com/index.php/Inverse_Power_Law_(IPL)-Lognormal_Model
You must be a registered user to add a comment. If you've already registered, sign in. Otherwise, register and sign in.