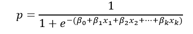
Do you mean the scale parameter in a logistic distribution? If so, you won't be able to find it in a logistic regression report. Logistic regression is usually formulated to address the relationship between probability and explanatory variables:

The simplest case will be just one explanatory variable, so the above form reduces to this:

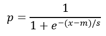
Meanwhile, the logistic distribution function looks like the following, in which s is the scale parameter:

Compare this equation with the one above it, you should be able to back out parameter m and s from beta0 and beta1. I.e. 1/s = beta1 and -m/s = beta0.
However, you won't be able to find m and s even in the simplest logistic regression report, because they don't have appropriate interpretations in the logistic regression context, in which beta's can explain changes in log-odds while changing explanatory variables.