Hello,
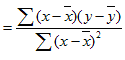
You can create a column formula for calculating the slope as follows:
- Create a new numeric column entitled Slope.
- Enter the formula for the slope as shown below.
- The Col Sum and Col Mean functions are found under the Statistical functions.
 
 
Col Sum( (:X - Col Mean( :X )) * (:Y - Col Mean( :Y )) ) /
Col Sum( (:X - Col Mean( :X )) ^ 2 )
Best,
Stan