cancel
Showing results for 
Show  only  | Search instead for 
Did you mean: 
  • JMP will suspend normal business operations for our Winter Holiday beginning on Wednesday, Dec. 24, 2025, at 5:00 p.m. ET (2:00 p.m. ET for JMP Accounts Receivable).
    Regular business hours will resume at 9:00 a.m. EST on Friday, Jan. 2, 2026.
  • We’re retiring the File Exchange at the end of this year. The JMP Marketplace is now your destination for add-ins and extensions.

Discussions

Solve problems, and share tips and tricks with other JMP users.
Choose Language Hide Translation Bar
MRB3855
Super User

With missing data, Fit Model platform doesn't run properly across all "by" variables

Good day: I just noticed this phenomena in v17.  See attached data file to show what I will try to describe.  In the attached, there are three responses, Y1, Y2, Y3.  There is a categorical factor and a by variable.  But, Y1 and Y2 are  missing for some of the By variables.  If I run the Fit Model platform with Y1, Y2, and Y3 as responses, "Cat" as a factor, and the "By Variable" as the By variable, the results are surprising. I get no results for By Variable A, only Y1 results for By variable B, Then all (Y1, Y2, Y3) results for C, D, and E. And it's not a "fit separately" issue either.  If I run the Distribution platform, however, choosing Y1, Y2, and Y3 as responses and "By Variable" as the By variable, it works as I'd expect. And this phenomena not happening in the Variability/Attribute Gauge Chart either. I don't recall this issue in v16. Help anyone?   

1 ACCEPTED SOLUTION

Accepted Solutions
MRB3855
Super User

Re: With missing data, Fit Model platform doesn't run properly across all "by" variables

I sent an email to JMP support (support@jmp.com) and received the response below. Looks like a bug to be fixed in future releases.

"Thank you for bringing this to our attention. I see the behavior you describe and it isn't what I would expect. It seems this has been the behavior for many versions of JMP (I tested back to JMP 10).

I will report this problem to JMP R&D to be addressed in a future release. Unfortunately, I don't see any workarounds at the moment, other than fitting the responses in separate calls to Fit Model."

View solution in original post

7 REPLIES 7
dale_lehman
Level VII

Re: With missing data, Fit Model platform doesn't run properly across all "by" variables

 I am running v17 so I don't know if v16 gives something else - but it looks to me like it is working correctly.  I see that there are no Y1 observations for category A and no Y2 observations for category B, and when I run the model you created, JMP is giving me warnings about both of those.  It provides results for the other combinations, but there is no model when all of the response variable observations are missing.  That is the way it should work, I believe.  Your distributions are simply showing where these missing combinations are, as they should.  The reason the Fit Model fails for the missing combinations is that there is nothing to estimate when all of the responses are missing.  Are you expecting something different?

MRB3855
Super User

Re: With missing data, Fit Model platform doesn't run properly across all "by" variables

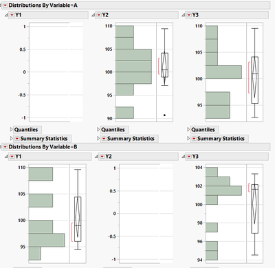
Thanks for the response. I should get results for Y2 and Y3 for By Variable A (clearly not for Y1 since the data are missing for Y1 By Variable A), but I don't. See attached screenshot. Similarly, for By Variable B I should get results for Y1 and Y3. But, I only get results for Y1.  

Screenshot 2023-01-26 140921.png

MRB3855
Super User

Re: With missing data, Fit Model platform doesn't run properly across all "by" variables

Further, I would expect it to work like the distribution platform does. 

Screenshot 2023-01-26 142214.png

 

MRB3855
Super User

Re: With missing data, Fit Model platform doesn't run properly across all "by" variables

Further still! If I change the missing data structure as in the attached (JMP_example3) I get no results at all; in this case, I should get results for each By Variable as shown below (since data aren't missing for those).

By Var A: Y2 Y3

By Var B: Y1 Y3

By Var C: Y1 Y2  

By Var D: Y2 Y3

By Var E: Y1

dale_lehman
Level VII

Re: With missing data, Fit Model platform doesn't run properly across all "by" variables

I'll admit to being mystified.  For this last iteration, I would note that using Fit Y by X provides the 9 expected analyses and error statements for the missing combinations. 

MRB3855
Super User

Re: With missing data, Fit Model platform doesn't run properly across all "by" variables

Yup, I did the same the same Fit Y by X as you and it worked as expected. I think we have a bug in Fit Model.

Thanks for your input. 

MRB3855
Super User

Re: With missing data, Fit Model platform doesn't run properly across all "by" variables

I sent an email to JMP support (support@jmp.com) and received the response below. Looks like a bug to be fixed in future releases.

"Thank you for bringing this to our attention. I see the behavior you describe and it isn't what I would expect. It seems this has been the behavior for many versions of JMP (I tested back to JMP 10).

I will report this problem to JMP R&D to be addressed in a future release. Unfortunately, I don't see any workarounds at the moment, other than fitting the responses in separate calls to Fit Model."

Recommended Articles