Hi,
In the semiconductor industry you usually need to optimize the number of dies you can squeeze on a wafer (GDPW).
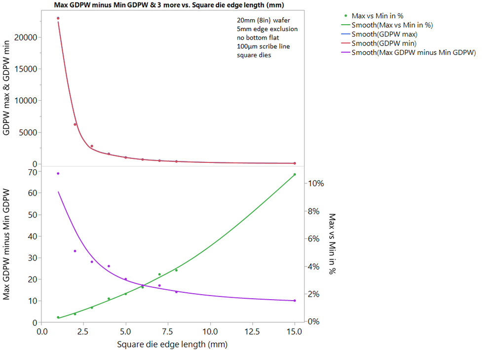
I wrote a script in JSL that calculates the best and worst possible number of good dies per wafer given a certain geometry. Especially for large dies, a small shift of the shot array by a few mm can improve the GDPW by up to 5%.
In this script you define some input parameters such as die X/Y-dimensions, wafer size, scribeline width, edge exclusion, bottom flat exclusion, etc.
The script will simulate a shift of the shot array in small steps, record the best and worst possible number of GDPW, and store some analytical data in a JMP Journal.
Maybe somebody can find some inspiration in it, use it for academic purposes or maybe even translate the results to something that can be used on their tools in the factory.
The calculations take some time, typically around 100 seconds.
If anybody has some input on how to speed up the calculation, please let me know.
At the bottom of this post I have attached two .jsl files that need to be placed in the same folder.


