Thank you Mark,
One point that remains confusing for me:
Is the Fixed Block effect placed in the Model (the X1) or in the matrix of model terms for the alias effects the (X2)?
See picture:

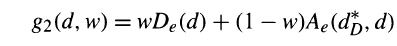
Reason for asking is that Following Jones and Nachtsheim (2011), i saw we minimize a mix of the trace of the Alias matrix and the D-efficiency with a weight factor to balance out. More formally, we minimize the objective function:

Where:


This let's me wonder:
If the block effect becomes a model term of design matrix X1 i guess it would optimize predictability (predictive variance) of the blocks as strongly as other model terms. If the block effect was in the model terms for matrix for the alias X2 we would optimize it's orthogonality against the X1 terms but it's predictive variance would be greater and estimated block effect sizes would not necessarily be orthogonal against potentially aliased effects.
Thank you for helping me understanding ;)