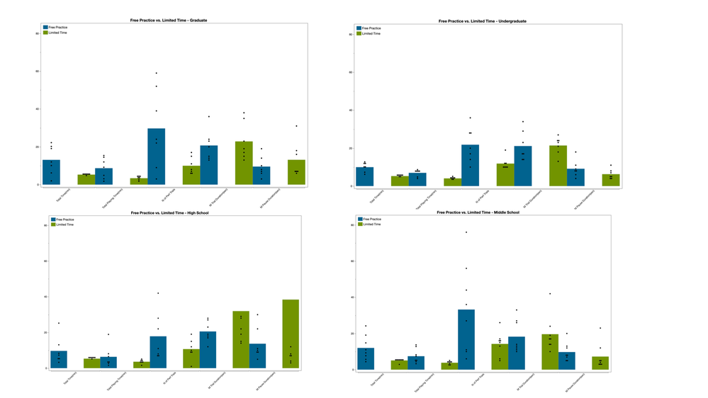
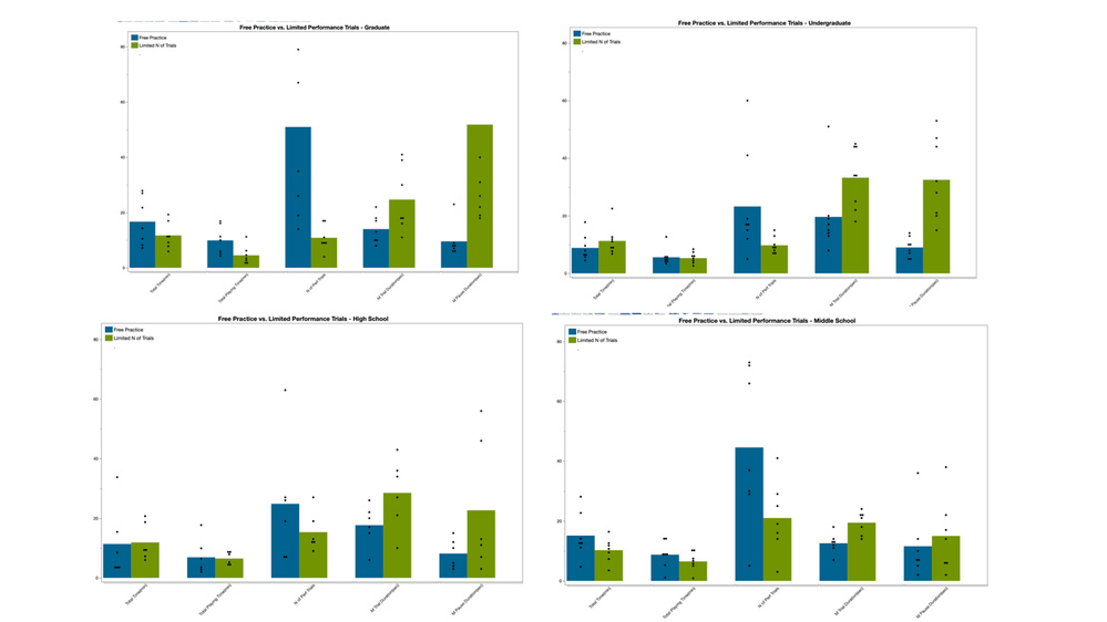
I interactively played around with some fake data taken from the Big Class sample data table. This is the best I could come up with

I have attached the table I used for the development of the graph/chart. I have embedded the script for the above chart into the data table. Additionally, the script is also displayed below.
Note: The maipulation of the data and the Chart Building was all done interactively. Once it was done, I then extracted the script that generates the graph.
Names Default To Here( 1 );
dt = Data Table( "rpalese" );
Graph Builder(
Size( 525, 458 ),
Show Control Panel( 0 ),
Legend Position( "Inside Left" ),
Variables( X( :age ), X( :sex, Position( 1 ) ), Y( :height ), Color( :sex ) ),
Elements(
Bar( X( 1 ), X( 2 ), Y, Legend( 6 ), Label( "Label by Value" ) ),
Points( X( 1 ), X( 2 ), Y, Legend( 7 ), Jitter( "None" ) )
),
SendToReport(
Dispatch(
{},
"age",
ScaleBox,
{Label Row(
1,
{Label Orientation( "Angled" ), Wrap Lines( 0 ),
Tick Mark( Label( "." ), Label( "" ) ),
Tick Mark( Label( "F" ), Label( "" ) ),
Tick Mark( Label( "Free Practice" ), Label( "" ) ),
Tick Mark( Label( "Limited N of Trials" ), Label( "" ) ),
Tick Mark( Label( "M" ), Label( "" ) )}
), Label Row( 2, Label Orientation( "Angled" ) )}
),
Dispatch(
{},
"height",
ScaleBox,
{Min( -1.28454146534123 ), Max( 85.4846123003219 ), Inc( 20 ),
Minor Ticks( 1 )}
),
Dispatch(
{},
"400",
ScaleBox,
{Legend Model(
6,
Properties( 0, {Fill Color( 61 )}, Item ID( "Free Practice", 1 ) ),
Properties(
1,
{Fill Color( 28 )},
Item ID( "Limited N of Trials", 1 )
),
Properties( 2, {Transparency( 0 )}, Item ID( ".", 1 ) ),
Properties( -1, {Fill Color( 61 )}, Item ID( "F", 1 ) ),
Properties( -1, {Fill Color( 28 )}, Item ID( "M", 1 ) )
), Legend Model(
7,
Properties( 0, {Line Color( 0 )}, Item ID( "Free Practice", 1 ) ),
Properties(
1,
{Line Color( 0 )},
Item ID( "Limited N of Trials", 1 )
),
Properties( 2, {Line Color( 2 )}, Item ID( ".", 1 ) ),
Properties( -1, {Line Color( 0 )}, Item ID( "F", 1 ) ),
Properties( -1, {Line Color( 0 )}, Item ID( "M", 1 ) )
)}
),
Dispatch(
{},
"graph title",
TextEditBox,
{Set Text( "Free Practice vs. Limited Performance Trials" )}
),
Dispatch( {}, "X title", TextEditBox, {Set Text( "" )} ),
Dispatch( {}, "Y title", TextEditBox, {Set Text( "" )} ),
Dispatch(
{},
"Graph Builder",
FrameBox,
{DispatchSeg( BarSeg( 1 ), {Set Width Proportion( 1 )} )}
),
Dispatch(
{},
"400",
LegendBox,
{Set Title( "" ), Orientation( "Horizontal" ),
Legend Position( {6, [0, 1, -1], 7, [-1, -1, -1]} )}
)
)
)
Jim