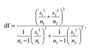
Hi @Ake, As we discussed, the issue is not a bug, although it might appear strange . It's unfortunately an artifact of the Satterthwaite method with small sample sizes -- and it relates to numerical instability in this situation but also it relates to the inflation in uncertainty we get with these interval estimates when the sample size is particularly small. The calculations aren't trivial unfortunately and insofar as I understand, they cannot be reproduced using simple mathematical formulas (at least not in the form of JMP's internal implementation).
We can begin to understand the uncertainly inflation though in relation to the Wald approximation for these intervals (which we implement in the Fit Mixed Platform in JMP Pro, Confidence Intervals for Variance Components; to be clear, in Variability/Gauge we use the Satterthwaite method only, even if we use different methods to calculate the point estimates for the variance components themselves see: Variance Components).
Looking at the formula for the confidence interval on an observed standard deviation (which uses the chi-squared distribution), we can plot this for increasing sample sizes in Graph Builder, assuming e.g. an observed std dev of 1, at a 2-sided 95% confidence level. Here we can see how the error on the upper side for smaller samples is much higher, and is particularly high with a sample size of approximately 6 or less.

The result shown above is saved as a script in the attached JMP data table, and the formulas as referenced therein in the Columns for the Upper and Lower CI are adopted from the book Introduction to Probability & Statistics,5th edition, 1979, by W. Mendenhall (see p. 303-304)