cancel
Showing results for 
Show  only  | Search instead for 
Did you mean: 
  • JMP will suspend normal business operations for our Winter Holiday beginning on Wednesday, Dec. 24, 2025, at 5:00 p.m. ET (2:00 p.m. ET for JMP Accounts Receivable).
    Regular business hours will resume at 9:00 a.m. EST on Friday, Jan. 2, 2026.
  • We’re retiring the File Exchange at the end of this year. The JMP Marketplace is now your destination for add-ins and extensions.

Discussions

Solve problems, and share tips and tricks with other JMP users.
Choose Language Hide Translation Bar

Choice Model Could you please provide me with the name of the model and determination (R2)

I am using JMP's [Consumer Survey] > [Choice Model] for my research. I have been advised to include ...

 

I am using JMP's [Consumer Survey] > [Choice Model] for my research. I have been advised to include the name of the model used in the paper. Could you please provide me with the name of the model? Also, I have been prompted to include the coefficient of determination (R2). Is it possible to calculate it?

1 ACCEPTED SOLUTION

Accepted Solutions
Victor_G
Super User

Re: Choice Model Could you please provide me with the name of the model and determination (R2)

Hi @Syoshinnsya2024,

 

Welcome in the Community !

Did you already check the JMP Help section related to Choice models ? : Overview of the Choice Platform
"The Choice platform uses a form of conditional logistic regression to estimate the probability that a configuration is preferred. Unlike simple logistic regression, choice modeling uses a linear model to model choices based on response attributes and not solely upon subject characteristics."

Some articles/litterature are also provided to dive deeper in the understanding of Choice models :

  • Louviere, J. J., Flynn, T. N., and Marley, A. A. (2015). Best-Worst Scaling: Theory, Methods and Applications. Cambridge: Cambridge University Press.
  • Train, K. E. (2009). Discrete Choice Methods and Simulation. 2nd ed. Cambridge University Press.
  • Rossi, P. E., Allenby, G. M., and McCulloch, R. (2005). Bayesian Statistics and Marketing. Chichester, UK: John Wiley & Sons.

 

As it is based on a type of logistic regression, you won't have access to "traditional" R².
For logistic regression, McFadden’s pseudo R² can be used.
For Choice models, you can use the different metrics related to Likelihood, like logLikelihhod, AICc and BIC metrics. There are however most useful when comparing multiple models, to choose the most informative and less complex one.

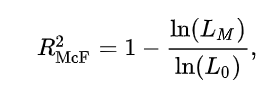
If you want to compute McFadden’s pseudo R² in your example, you could technically do it by using this formula :

Victor_G_0-1730707631867.png(from Pseudo-R-squared - Wikipedia)

With Lm : the log-likelihood of full model

and L0 : the log-likelihood of model with only intercept (add a constant factor value and use it in model effects).

 

In the example "Choice Profiles", I run a model with effects having a logLikelihood equal to -6 (or -2logLikelihood = 12).

When running a model with only a constant effect (intercept), I have a logLikelihood equal to -9 (or -2logLikelihood = 18).
Using the formula above, I can calculate a McFadden’s pseudo R² equal to 0,333.

Attached is the datatable used for the models so that you can reproduce the steps above.
Hope this answer will help you,

Victor GUILLER

"It is not unusual for a well-designed experiment to analyze itself" (Box, Hunter and Hunter)

View solution in original post

1 REPLY 1
Victor_G
Super User

Re: Choice Model Could you please provide me with the name of the model and determination (R2)

Hi @Syoshinnsya2024,

 

Welcome in the Community !

Did you already check the JMP Help section related to Choice models ? : Overview of the Choice Platform
"The Choice platform uses a form of conditional logistic regression to estimate the probability that a configuration is preferred. Unlike simple logistic regression, choice modeling uses a linear model to model choices based on response attributes and not solely upon subject characteristics."

Some articles/litterature are also provided to dive deeper in the understanding of Choice models :

  • Louviere, J. J., Flynn, T. N., and Marley, A. A. (2015). Best-Worst Scaling: Theory, Methods and Applications. Cambridge: Cambridge University Press.
  • Train, K. E. (2009). Discrete Choice Methods and Simulation. 2nd ed. Cambridge University Press.
  • Rossi, P. E., Allenby, G. M., and McCulloch, R. (2005). Bayesian Statistics and Marketing. Chichester, UK: John Wiley & Sons.

 

As it is based on a type of logistic regression, you won't have access to "traditional" R².
For logistic regression, McFadden’s pseudo R² can be used.
For Choice models, you can use the different metrics related to Likelihood, like logLikelihhod, AICc and BIC metrics. There are however most useful when comparing multiple models, to choose the most informative and less complex one.

If you want to compute McFadden’s pseudo R² in your example, you could technically do it by using this formula :

Victor_G_0-1730707631867.png(from Pseudo-R-squared - Wikipedia)

With Lm : the log-likelihood of full model

and L0 : the log-likelihood of model with only intercept (add a constant factor value and use it in model effects).

 

In the example "Choice Profiles", I run a model with effects having a logLikelihood equal to -6 (or -2logLikelihood = 12).

When running a model with only a constant effect (intercept), I have a logLikelihood equal to -9 (or -2logLikelihood = 18).
Using the formula above, I can calculate a McFadden’s pseudo R² equal to 0,333.

Attached is the datatable used for the models so that you can reproduce the steps above.
Hope this answer will help you,

Victor GUILLER

"It is not unusual for a well-designed experiment to analyze itself" (Box, Hunter and Hunter)

Recommended Articles