User Community
All community
Knowledge base
Jmsouch
Users
Products
cancel
Turn on suggestions
Auto-suggest helps you quickly narrow down your search results by suggesting possible matches as you type.
Showing results for
Show
only
|
Search instead for
Did you mean:
Sign In
Sign In
JMP.com
User Community
Online Documentation
My JMP
JMP Store
JMP Public
JMP Marketplace
Discovery Summits
Discussions
Learn JMP
Support
Events
Mastering JMP
Academic Webinars
Getting Started Series
Hands-on Workshops
JMP Users Groups
Discovery Summits
JMP Blogs
JMP Wish List
Community
About the Community
File Exchange
JMP Technical Resources
JMP Users Groups
Interest Groups
JMP Discovery Summit Series
JMP Software Administrators
All community
Knowledge base
Jmsouch
Users
Products
cancel
Turn on suggestions
Auto-suggest helps you quickly narrow down your search results by suggesting possible matches as you type.
Showing results for
Show
only
|
Search instead for
Did you mean:
Sign In
Sign In
Discussions
Learn JMP
Support
Events
Mastering JMP
Academic Webinars
Getting Started Series
Hands-on Workshops
JMP Users Groups
Discovery Summits
JMP Blogs
JMP Wish List
About the Community
File Exchange
JMP Technical Resources
JMP Users Groups
Interest Groups
JMP Discovery Summit Series
JMP Software Administrators
Jmsouch
Level I
Public Statistics
Date Registered
‎12-13-2019
04:36 PM
Date Last Visited
‎07-22-2021
01:55 AM
Total Messages Posted
1
Contact Me
Online Status
Offline
Date Last Visited
‎07-22-2021
01:55 AM
My Recent Posts
My Blog Posts
My Badges
My Activity
Post I Kudoed
Recently Kudoed Post
TKB Contributions
Latest posts by Jmsouch
Subject
Views
Posted
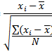
How do I calculate z-scores at different aggregation levels?
Discussions
2206
‎02-26-2020
10:04 AM
View All
Subject
Views
Posted
View All
View All
Activity Feed for Jmsouch
Posted
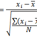
How do I calculate z-scores at different aggregation levels?
on
Discussions
.
‎02-26-2020
10:04 AM