Hello and thank you for this explanation.
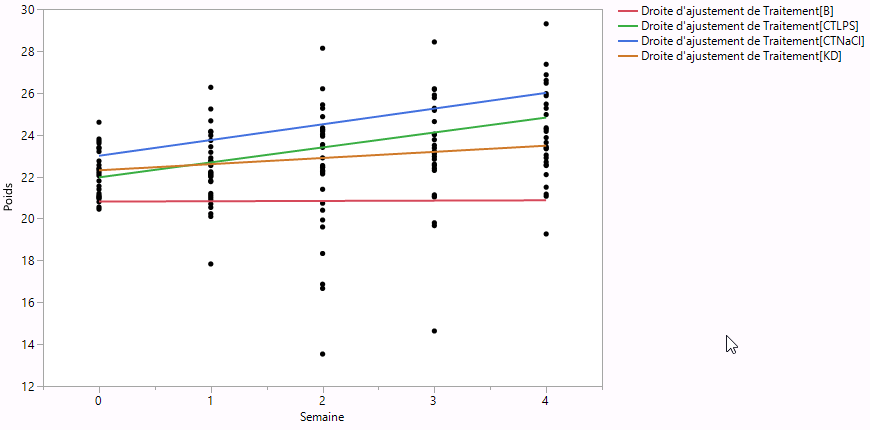
I had the same problem (ANOVA + Tukey, with weights in mices depending on the treatment).
However, can you help me to interpret the significant differences between the groups for each time?
what data should I look at for each week?
Thank you.
To be clearer, I would like to know the p-value between each group for each week



PS: I had no choice but to select the treatment on multiple comparisons
[EDIT] : Problem resolved. My variables (week) was not in "nominal".