Hi experts,
I'm trying to figure out how the upper and lower limits are computed on the prediction profiler for a categorical regression model.
Here is the model and a profiler snapshot for (White, Low Density, Night):


To get the mean response of 0.305017, we can simply add up
0.4650093 + (-0.03985) + (-0.0513424) + (-0.0687996) = 0.305017
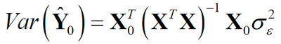
But how are the lower/upper limits of 0.22501 and 0.38502 calculated?
Originally, I simply summed up the corresponding standard deviations to find a standard deviation for the response so -
0.0269889 + 0.0243968 + 0.0126292 + 0.0126749 = 0.0766898
then multiplied by z = 1.96
0.0766898 x 1.96 = 0.150312008
but from the profiler, this value is much lower:
0.38502 - 0.305017 = 0.080003
I also tried to look at the formula for the upper and lower limits but for some reason could not get it to show (I could get the predicted response formula to show).
If anyone could point me in the right direction I would be very grateful, thank you!