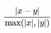
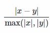
Without using scripting, I want to create a formula that computes a ratio between two columns of CAGR percentages, taking into account that some of the percentages are negative (meaning simple division will not suffice). A formula that might accomplish this is:
If the above formula would work, how would I incorporate the comma in the JMP formula box? Or, is there a better way to compute the ratio?