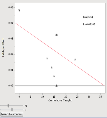
This script uses catch per unit effort methods to estimate population totals. It supports catch data and sighting data, as well catch and sighting data. Bishir and Lancia (1996) provides more detail on catch per unit effort models. Also includes the 1988 deer data described in Bishir and Lancia (1988).
Reference: Bishir and Lancia (1996). "On Catch-Effort Methods of Estimating Animal Abundance", Biometrics, pages 1457-1466.
