案例背景
在全球範圍內,兒童營養不良問題依然嚴峻。據統計,全球約有5100萬兒童受到消瘦的影響,其中嚴重消瘦的兒童接近1700萬(FAO, IFAD, UNICEF, WFP, & WHO, 2017)。每年有590萬五歲以下兒童死亡,其中一半死於營養不良(UNICEF, 2016)。為了應對這一挑戰,即食治療食品(Ready-to-Use Therapeutic Food, RUTF)作為一種高能量、富含微量營養素的糊狀食品,被廣泛應用於低收入國家五歲以下兒童的急性營養不良的社區管理(Community-based Management of Acute Malnutrition, CMAM)。RUTF可以直接在家中提供給沒有臨床併發症的兒童,避免住院治療。
然而,當前RUTF的主流配方受到一些成分問題的影響,如脫脂奶粉的高成本、棕櫚油的營養特性、花生的致敏性。
因此,我們此次要討論的案例,是源自於《Food and Bioproducts Processing》的食品研究論文進行解讀,介紹如何結合D-最優混料設計(DOE)與函數資料分析(FDA),研發治療兒童營養不良的替代即食治療食品(RUTF),優化食品懸浮液的顆粒尺寸分佈(PSD)曲線和表觀粘度曲線,並基於QbD理念確定配方的設計空間。該案例旨在開發一種替代RUTF配方,使用低成本且易於在低收入國家獲得的本地成分,以提高品質和可接受性,滿足兒童營養需求。
廣泛使用的商業RUTF Plumpy'Nut®的主要成分包括:花生醬、麵粉、蔗糖、棕櫚油、葵花籽油、脫脂奶粉、礦物質和維生素(A, C, D, E, B1, B2, B6, B12, 生物素, 葉酸, 泛酸和煙酸),其宏量營養素平均含量為脂質36%,蛋白質14%,碳水化合物約43%(每92克包裝500 kcal)。
本研究中替代RUTF懸浮液配方的主要成分包括:脂質相(葵花籽油和大豆卵磷脂)、麵粉混合物(去殼和烘烤的大豆粉與高粱粉)、糖粉、螺旋藻微藻乾粉。其中去殼和烘烤的大豆和高粱作為蛋白質來源,糖粉作為葡萄糖來源、甜味劑和填充劑,葵花籽油因其可獲得性、技術特性和營養特性而被選用,螺旋藻微藻乾粉確保提供足夠的微量營養素。
案例分析
分析方法
使用D-最優混料設計生成替代RUTF懸浮液的配方,應用函數資料分析擬合顆粒尺寸分佈(PSD)曲線和表觀粘度曲線,分別提取曲線的函數主成分(FPC)作為回應,建立函數主成分與配方成分比例的迴歸模型,結合迴歸模型與函數資料預測公式,建立曲線型回應資料與配方混料因數的聯繫,最終基於目標曲線的約束條件確定配方的設計空間,如下圖。

實驗設計:使用D-最優混料設計探討3種成分對食品特性的影響
- 因數變數:麵粉(x1)、脂質相(x2)和糖粉(x3)的比例。螺旋藻乾粉作為恒定成分(3%)。
- 回應變數:顆粒尺寸分佈(PSD)和表觀粘度曲線。
透過D-最優混料設計研究成分比例對配方特性的影響,實驗設計包括三個混料因數:麵粉(x1)、脂質相(x2)和糖粉(x3)的比例,x1+x2+x3=1。至於螺旋藻乾粉,因為在整個設計中保持恒定在3%(w/w),因此不包括在混料設計中。
脂質相、混合麵粉和糖粉占最終懸浮液的97%,並在20種配方中變化。混料因數的低和高水準分別為:0.30–0.40 g/g、0.25–0.35 g/g和0.25–0.35 g/g,分別對應 x1、x2和x3,基於懸浮液可操作性和即食治療食品的特定營養需求的而初步測試選擇。選擇特殊三次項模型作為迴歸模型,並設置五個重複,因此總共產生了20種替代RUTF懸浮液配方。
(表 1) 報告了由JMP生成的配方設計方案。

(表 1) 本研究中使用的D-最優混料設計
x1、 x2和 x3分別表示混合麵粉、脂質相和糖粉的品質分數
FPC1-oversize表示oversize vs. log-transformed class sizes函數資料的FPC得分
FPC1-viscosity表示log-transformed viscosity vs. log-transformed shear rate函數資料的FPC得分
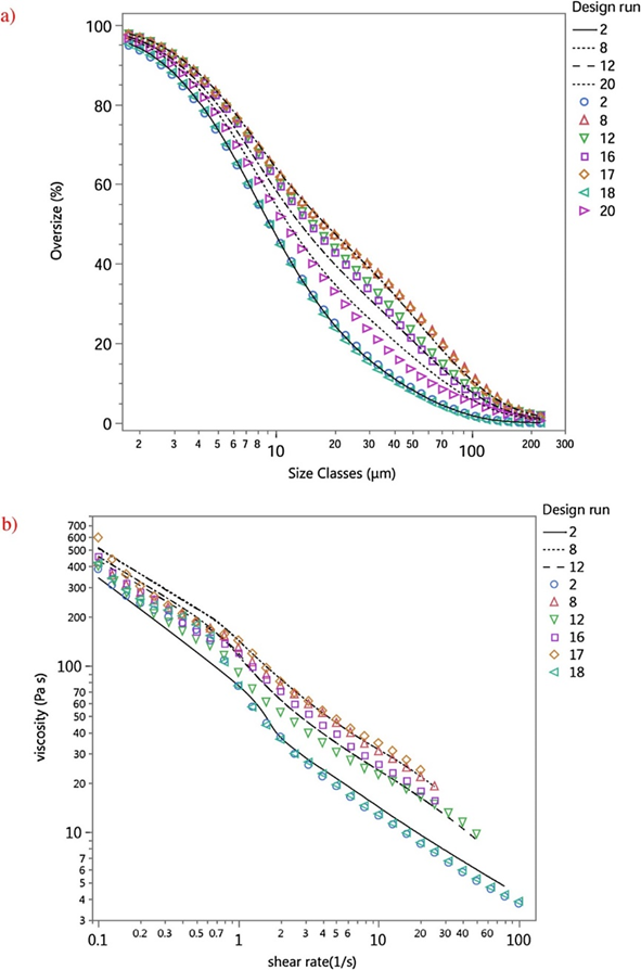
實驗順序完全隨機化,以避免系統偏差。對於每種配方,流變曲線和顆粒尺寸分佈分別為三次和兩次重複測量的平均值。顆粒尺寸分佈(PSD)和表觀粘度曲線為函數型回應資料,測試結果如(圖 1)所示。

圖 1 不同成分懸浮液的顆粒尺寸分佈 (a) 和表觀粘度曲線 (b)
函數資料分析
在之前的研究中2,為描述食品懸浮液的顆粒尺寸分佈(PSD)曲線和表觀粘度曲線的特徵,透過標量對曲線資料進行統計,然後將標量統計量作為回應對混料成分進行迴歸。然而,將曲線特徵簡化為標量描述將損失曲線資料的資訊,影響建模效果。
函數資料分析[ii](FDA)尤其適合處理函數、信號、波譜或時間序列資料,透過擬合數據的 B 樣條、P 樣條、傅裡葉或小波基函數模型來創建函數模型實現曲線的擬合,並透過提取函數主成分(FPC)實現曲線資料的降維1。本研究中,顆粒尺寸分佈曲線和表觀粘度曲線回應資料經過變換,透過B樣條進行了擬合(如圖 2所示),並進行了函數主成分分析(FPCA)。FPCA的第一函數主成分FPC1(如表 1所示)分別解釋了oversize和viscosity曲線資料約99%和88.5%的變異,可以充分描述曲線資料包含的資訊。函數資料分析原理見附錄公式(1)與公式(2)。

圖 2 實驗設計曲線回應的函數資料分析(坐標軸進行了自然對數變換)
迴歸建模
分別將函數主成分得分FPC1-oversize和FPC1-viscosity與混料成分構建混料回應曲面的迴歸模型,之後用於預測顆粒尺寸分佈(PSD)和表觀粘度曲線。混料回應曲面模型見附錄公式(3)。
如表 2所示,迴歸模型對PSD和表觀粘度曲線的預測具有較高的擬合優度(R²值分別為0.87和0.75)。如圖 3所示,預測值與實際值吻合程度較高。

表 2 函數主成分(FPC)與混料成分迴歸建模統計匯總
混料響應曲面模型的係數估計值與標準誤差 (SE),t0值和相應的 p 值 (Prob>|t0|)、R2、均方根誤差 (RMSE)、失擬檢驗的 p 值(p 值 LoF)以及為oversize和viscosity函數資料的第一函數主成分計算的 FPC得分的觀測值數

圖 3 函數主成分(FPC1)與混料成分迴歸建模“預測值-實際值”圖
透過分析表 1和圖 1,可以理解FPC1得分與其相應的函數回應呈負相關。因此,當FPC1增加時,oversize和viscosity降低。如圖 4混料刻畫器所示,在白色三角形的右邊緣從上角移動到下角,oversize和viscosity的FPC1得分增加,從而導致oversize和viscosity降低,這與配方設計空間的目標優化方向一致。

圖 4 函數主成分(FPC1)與混料成分迴歸建模混料刻畫器
模型評估
混料回應曲面模型可以基於混料成分配方預測FPC1得分(公式3),函數資料分析模型可以基於FPC1得分預測曲線資料Y值(公式2),將二者結合,可以建立配方與曲線回應的對應關係,並透過模型預測不同配方的oversize與viscosity曲線回應。圖 5結果顯示,預測曲線與實驗資料高度吻合,證明了模型的有效性。

圖 5 由公式(2)、公式(3)和表 2中FPC1迴歸模型預測的曲線與實際測試資料對比
確定設計空間
設計空間(Design Space)是品質源於設計(Quality by Design, QbD)理念的核心組成部分,是指滿足特定約束條件的參數範圍。透過設計空間,可以確定最優配方,並可以在允許的範圍內靈活調整操作條件,確保產品滿足品質要求。
本研究的約束條件:
顆粒尺寸分佈(PSD):在class size為45或50 μm時,oversize低於10%,以確保產品的細膩口感。
表觀粘度曲線:在剪切速率為2 s−1時,表觀粘度應低於60 Pa·s,以確保產品的可擠壓性和易吞咽性。
結合上述實驗設計與函數資料分析所構建的模型,能夠預測不同懸浮液配方成分比例對應的顆粒尺寸分佈(PSD)和表觀粘度曲線。基於以上約束條件,可確定替代RUTF配方的設計空間,如圖 6白色區域所示。

圖 6 oversize和apparent viscosity隨混料成分變化的設計空間
將class size保持在 45 μm (a) 或 50 μm(b) 並將剪切速率保持在 2 s−1
白色區域對應於使oversize低於 10% 且apparent viscosity低於 60 Pa·s 的可行實驗條件
案例結論
實驗設計(DOE)與函數資料分析(FDA)相結合,提供了一種高效分析曲線型回應的方法,用於研究替代RUFT懸浮液的顆粒尺寸分佈(PSD)和表觀粘度曲線隨配方變化的規律,並最終確定了滿足產品要求的設計空間。透過研發替代RUFT,使用低成本且易於獲得的本地成分,降低生產成本,可提高RUTF的普及程度,保障兒童營養與健康。
案例延申
食品開發中,越來越多的複雜儀器和曲線資料用於食品配方和製程開發中的產品表徵,例如顆粒尺寸分佈、流變曲線、動力學資料、動態感官曲線、波譜曲線(光譜、色譜、質譜、核磁共振譜)。經典的分析方法僅考慮標量回應,將損失曲線資料中的資訊。使用函數資料分析可以最大化保留曲線中的資訊,同時透過函數主成分分析實現降維,在此基礎上可以結合實驗設計,直接研究曲線回應與配方成分或工藝參數間的關係,並建立預測模型和確定設計空間。該方法在食品行業曲線資料分析中具有廣闊的應用前景[iii] [iv]。
上述論文案例的分析過程中是基於JMP Pro 15實現了函數資料分析與建模,目前基於JMP Pro 18的最新版本,可以直接利用函數實驗設計(FDOE)更加高效地實現上述分析,構建實驗設計因數與曲線型回應資料之間的預測模型,並可根據目標曲線高效優化配方與製程參數。如果想知道更多在食品與飲料產業的感官分析與配方優化,歡迎報名3/26 (三) 直播研討會 (本場研討會將以中文授課):https://jmp.zoom.us/webinar/register/WN_eEUCWCNfRcKKWG_afonZgg#/registration
*論文來源:Marcello Fidaleo, Nicoletta A. Miele, Vincenzo Armini, Silvana Cavella, Design space of the formulat...[v]
[i] Formula optimization approach for an alternative Ready-to-Use Therapeutic Food - ScienceDirect
[ii] 函数数据分析器
[iii] Functional Data Analysis and Design of Experiments Applied to Food Milling Proce... - JMP User Commu...
[iv] Developer Tutorial: Modeling Spectral Data Using JMP Pro 17
[v] Design space of the formulation process of a food suspension by D-optimal mixture experiment and fun...