There are multiple possibilities available in JMP:
how to make cumulative probability plots in JMP?
Oneway [which is also used for your plot] is by far the easiest approach.
Just activate the Normal Quantile plot via:

Life Distribution is the most professional platform in Jmp to create such plots.
It allows to fit the data and to split the data via Grouping and the the By option.
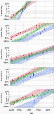
Via JSL, one can collect the individual plots to generate a binned / grouped probability plot like this one:

If you don't care about the "-1" counting difference between cumulative percent and cumulative probability, you can use the summary statistics of Graph Builder.
There are many benefits:
- multiple parameters can be plotted next to each other
- compatible with all the functionality in Graph Builder, one can use Overlay, split the data into subplots.
- This approach is even compatible with Columns Switcher. This allows you to change the analysis parameter in the final report. Very helpful for exploratory data analysis!
The only disadvantage is the missing "N-1"

With the new Scoping Options of Graph Builder / JMP19, I will have a new favorite:


Then graphs like this one can be generated in a few seconds - and the user can drag columns onto the Overlay and Grouping dropzones to dig deeper and find hidden secrets.

And Column Switcher can be enabled with some JSL magic ...
Add CDFs to Graph Builder
Summary Statistics in Graph Builder - add Cumulative Probability