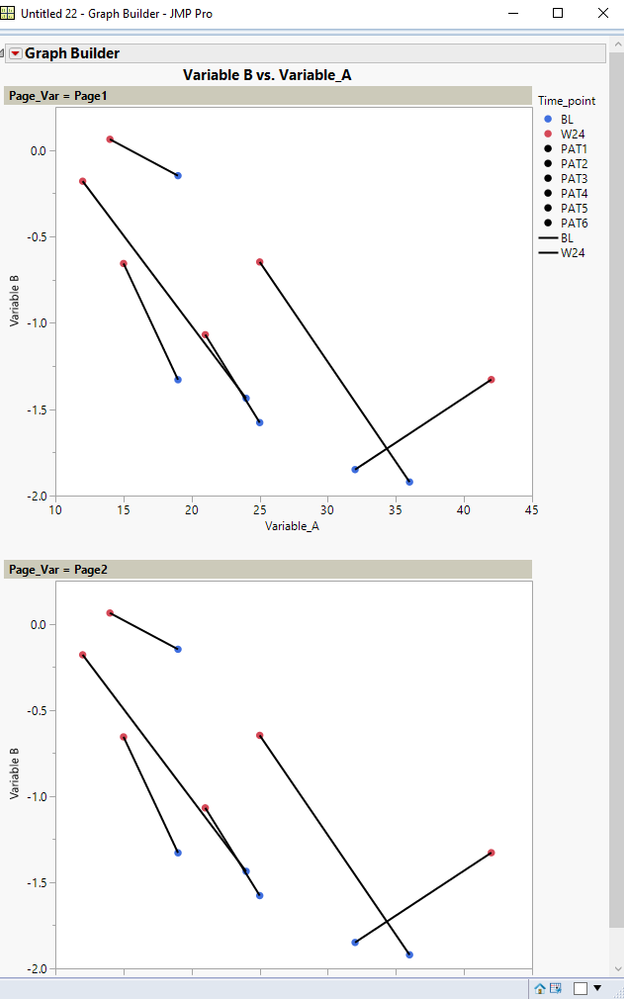
Here is an attempt at what you want. It is pretty close to what you are requesting. I added a column to your data table which is being used as a Page separator, which I am imagining will be your 1-100 graphs. Here is the output, followed by the script that generates the sample data table and the graphic output:

Names Default to here(1);
dt = New Table( "Sample",
Add Rows( 24 ),
New Column( "Patient_ID",
Character,
"Nominal",
Set Values(
{"PAT1", "PAT2", "PAT3", "PAT4", "PAT5", "PAT6", "PAT1", "PAT2", "PAT3",
"PAT4", "PAT5", "PAT6", "PAT1", "PAT2", "PAT3", "PAT4", "PAT5", "PAT6",
"PAT1", "PAT2", "PAT3", "PAT4", "PAT5", "PAT6"}
)
),
New Column( "Time_point",
Character,
"Nominal",
Set Selected,
Set Values(
{"BL", "BL", "BL", "BL", "BL", "BL", "W24", "W24", "W24", "W24", "W24",
"W24", "BL", "BL", "BL", "BL", "BL", "BL", "W24", "W24", "W24", "W24",
"W24", "W24"}
)
),
New Column( "Variable_A",
Numeric,
"Continuous",
Format( "Best", 12 ),
Set Values(
[19, 36, 24, 25, 19, 32, 15, 25, 12, 21, 14, 42, 19, 36, 24, 25, 19, 32,
15, 25, 12, 21, 14, 42]
)
),
New Column( "Variable B",
Numeric,
"Continuous",
Format( "Best", 12 ),
Set Values(
[-1.3287, -1.9208, -1.436, -1.577, -0.1477, -1.849, -0.65601, -0.64708,
-0.17958, -1.06807, 0.06291, -1.328, -1.3287, -1.9208, -1.436, -1.577,
-0.1477, -1.849, -0.65601, -0.64708, -0.17958, -1.06807, 0.06291, -1.328
]
)
),
New Column( "Page_Var",
Character,
"Nominal",
Set Values(
{"Page1", "Page1", "Page1", "Page1", "Page1", "Page1", "Page1", "Page1",
"Page1", "Page1", "Page1", "Page1", "Page2", "Page2", "Page2", "Page2",
"Page2", "Page2", "Page2", "Page2", "Page2", "Page2", "Page2", "Page2"}
)
)
);
dt << Graph Builder(
Size( 534, 954 ),
Show Control Panel( 0 ),
Variables(
X( :Variable_A ),
Y( :Variable B ),
Page( :Page_Var ),
Overlay( :Patient_ID ),
Color( :Time_point )
),
Elements( Points( X, Y, Legend( 3 ) ), Line( X, Y, Legend( 5 ) ) ),
SendToReport(
Dispatch(
{},
"400",
ScaleBox,
{Legend Model(
3,
Properties( 0, {Marker( "FilledCircle" )} ),
Properties( 1, {Marker( "FilledCircle" )} ),
Properties( 2, {Marker( "FilledCircle" )} ),
Properties( 3, {Marker( "FilledCircle" )} ),
Properties( 4, {Marker( "FilledCircle" )} ),
Properties( 5, {Marker( "FilledCircle" )} ),
Properties( 6, {Marker( "FilledCircle" )} ),
Properties( 7, {Marker( "FilledCircle" )} )
), Legend Model(
5,
Properties( 0, {Line Color( 0 )} ),
Properties( 1, {Line Color( 0 )} )
)}
),
Dispatch( {}, "Graph Builder", FrameBox, {Marker Size( 5 )} ),
Dispatch( {}, "Graph Builder", FrameBox( 2 ), {Marker Size( 5 )} )
)
);
Jim