Hi @sanch1 ,
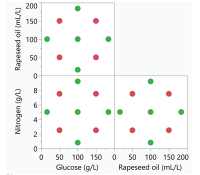
To add on to @SDF1 's comments, I always like to show the 'faces' of the design using the 2D scatterplots too, sometimes people can struggle with understanding the design in 3D space, so having both of these can help. Here's an example using the Scatterplot (Graph>Scatterplot), just put X1,X2 in 'X', X2,X3 in 'Y' and then select the X2*X2 scatterplot and 'Hide' using the Properties option.

Cheers,
Ben
“All models are wrong, but some are useful”